Search for content and authors
 

SYNTHESIS AND ANTIPROLIFERATIVE ACTIVITY OF DIACETYLENIC THIOQUINOLINES

Wojciech Mól 1Adam Naczyński 1Joanna Wietrzyk Beata Filip-Psurska 2Stanisław Boryczka 1

1. Medical University of Silesia, Department of Organic Chemistry, Jagiellonska 4, Sosnowiec 41-200, Poland
2. Polish Academy of Sciences, Institute of Immunology and Experimental Therapy (IITD), Rudolfa Weigla 12, Wrocław 53-114, Poland

Abstract

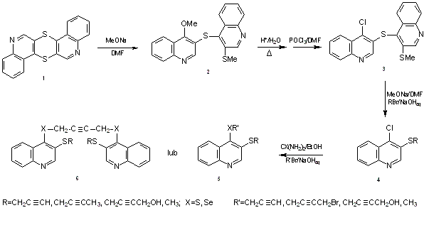
Acetylenic derivatives are an important class of compounds that has attracted increasing attention as a source of new anticancer agents. The synthetic methods for their preparation are of interest especially with regard to the synthesis of enediyne antibiotics and their analogues.1 Recently we have carried out a new synthesis of propargyl thioquinolines which exhibited significant in vitro cytotoxicity.2-3

In the present study a series of new 3,4-disubstituted thioquinolines 5-6 which possess one or two the same or different O, S, Se-propargyl, 4-bromo-2-butynyl, 4-hydroxy-2-butynyl groups were synthesized. The obtained compounds were tested for their antiproliferative activity in vitro against the cells of human (colon cancer SW 707, leukemia CCRF/CEM) and murine (leukemia P388, melanoma B16) cancer cell lines. The most active compounds 5 have the ID50 values ranging from 0.2 to 4.5 μg/ml comparable to that of referential cisplatin.

LEK2006_1.gif LEK2006.GIF

References:

1. G.B.Jones, F.S.Found, Curr.Pharm.Design, 8, 2415 (2002).

2. S.Boryczka, J.Wietrzyk, A.Nasulewicz, M.Pełczyńska, A.Opolski, Pharmazie, 57, 733 (2002).

3. W.Mól, A.Naczyński, S.Boryczka, J.Wietrzyk, A.Opolski, Pharmazie, (2005, accepted).

 

Legal notice
  • Legal notice:
 

Related papers

Presentation: Poster at V Multidyscyplinarna Konferencja Nauki o Leku, by Stanisław Boryczka
See On-line Journal of V Multidyscyplinarna Konferencja Nauki o Leku

Submitted: 2006-02-02 11:24
Revised:   2009-06-07 00:44