Search for content and authors
 

Antiproliferative activity of novel acetylenic derivatives of betulin against G-361 human melanoma cells

Ewa B. Bębenek 1Ewa Chodurek 2Arkadiusz Orchel 2Zofia Dzierżewicz 2Stanisław Boryczka 1

1. Department of Organic Chemistry, The Medicial University of Silesia, Jagiellońska 4, Sosnowiec 41-200, Poland
2. Department of Biopharmacy, Medical University of Silesia, Jedności 8, Sosnowiec 41-200, Poland

Abstract

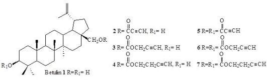
Malignant melanoma is highly resistant to chemotherapy and radiotherapy, particularly in the metastatic or relapse phase. Median survival time of metastatic patients is 6-9 months and the 5-year survival rate does not exceed 1-2%. Therefore, new possible treatment strategies are still searched for. Inhibition, delay or reversal of carcinogenesis using natural or semisynthetic compounds seems to be a promising approach [1]. Betulin (1) is a natural compound with cytotoxic activity against cancer cells. It can be easily converted to various semisynthetic derivatives [2-3].

The aim of the study was to investigate the effect of acetylenic derivatives of betulin (2-7) on cell proliferation in G-361 human melanoma cell line.

To assess cell proliferation, G-361 cells were fixed with 10% trichloroacetic acid and stained with sulforhodamine B. The range of concentrations of the tested compounds was from 1 to 20 µg/mL and the cells were treated for 72h. Monoesters 2-4, obtained by a replacement of the hydroxyl group at C-28 position of betulin (1) by alkynyl groups, exhibited the most potent cytotoxicity. Instead, simultaneous esterification of the C-3 hydroxyl group (diesters 5-7) completely abolished the cytotoxic action of the compound (in a concentration range: 1-20 μg/mL).

References:

[1] Weller R, Hunter J, Savin J, Dahl M. Dermatologia kliniczna. Lublin: Czelej; 2011: 318.

[2] Tolstikov G A, Flekhter O B, Shultz E E, Baltina L A, Tolstikov A G. Betulin and its derivatives. Chemistry and biological activity. Chem Sustain Develop; 2005: 13, 1–29.

[3] Boryczka S, Bębenek E, Wietrzyk J, Kempińska K, Jastrzębska M, Kusz J, Nowak M. Synthesis, structure and cytotoxic activity of new acetylenic derivatives of betulin. Molecules; 2013: 18, 4526-4543.

 

Legal notice
  • Legal notice:
 

Related papers

Presentation: Poster at IX Multidyscyplinarna Konferencja Nauki o Leku, by Ewa Chodurek
See On-line Journal of IX Multidyscyplinarna Konferencja Nauki o Leku

Submitted: 2014-03-13 12:50
Revised:   2014-05-02 09:57