Search for content and authors
 

SYNTHESIS AND ANTIPROLIFERATIVE ACTIVITY IN VITRO OF NEW 2-AMINOBENZIMIDAZOLE DERIVATIVES. PART 3. REACTIONS OF 2-ARYLIDENE- AMINOBENZIMIDAZOLE WITH SELECTED 1,3-DIKETONES.

Wanda Nawrocka 1Barbara Sztuba 2Andrzej Dryś 2Joanna Wietrzyk 2

1. Akademia Medyczna, Katedra Technologii Leków, Nankiera 1, Wrocław 50-140, Poland
2. Akademia Medyczna, Katedra Chemii Fizycznej, Nankiera 1, Wrocław, Wrocław 50-140, Poland

Abstract

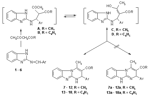
A series of pyrimido[1,2-a]benzimidazole derivatives has been synthesized in the reactions of 2-aminobenzimidazole Schiff bases 1-6 with selected β-diketones; acetylacetone 7-12 or benzoylacetone 13-18. The structures 4, 7-18 were confirmed by the results of elemental analysis and their IR, 1H NMR and MS spectra. Compounds 4, 7-18 were examined for their antiproliferative activity in vitro against 3 cancer cell lines: P338 (mice leukemia), A549 (non-small cell lung carcinoma), SW707 (rectal adenocarcinoma), using SRB (sulphorhodamine B) or MTT (3-(4,5-dimethylthiazol-2-yl)-2,5-diphenyl tetrazolium bromide) technique. The Schiff base 4 and tricyclic derivatives 9, 14, 16, exhibited the highest cytotoxic activity in vitro.

tab1_1.gif

shemat_1.gif

 

Legal notice
  • Legal notice:
 

Related papers

Presentation: Poster at V Multidyscyplinarna Konferencja Nauki o Leku, by Wanda Nawrocka
See On-line Journal of V Multidyscyplinarna Konferencja Nauki o Leku

Submitted: 2006-04-10 13:18
Revised:   2009-06-07 00:44