Search for content and authors
 

Synthesis and anticancer activity of acetylenic derivatives of betulin

Ewa B. Bębenek 1Katarzyna Kempińska 2Joanna Wietrzyk 2Maria Jastrzębska 3Joachim Kusz 3Stanisław Boryczka 1

1. Department of Organic Chemistry, The Medicial University of Silesia, Jagiellońska 4, Sosnowiec 41-200, Poland
2. Polish Academy of Sciences, Institute of Immunology and Experimental Therapy (IITD), Rudolfa Weigla 12, Wrocław 53-114, Poland
3. University of Silesia, Institute of Physics, Uniwersytecka 4, Katowice 40-007, Poland

Abstract

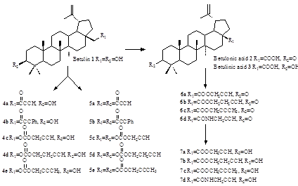
Betulin [lup-20(29)-ene-3β,28-diol, C30H50O2] (1), also known as betulinic alcohol, is a pentacyclic triterpene of the lupane type which was one of the first natural products identified and isolated from plants as a pure chemical substance in 1788 by Lowitz [1]. The still growing interest in betulin (1) and its derivatives results from their wide spectrum of biological activities such as anticancer, antiviral, anti-inflammatory, antibacterial and hepatoprotective properties [1-3]. Betulin (1) has three available sites for simple chemical modification, namely: secondary hydroxyl group at position C-3, primary hydroxyl group at position C-28 and isopropenyl side chain at position C-20. The high content of betulin (up to 30%) in white birch bark and the ease of its isolation in almost any amount, make it important starting material for synthesis of new compounds with various interesting medical properties. In the last few years a large number of betulin derivatives have been reported to possess anticancer, anti-inflammatory, anti-HIV and anti-leishmanial activity [1,4]. Despite the fact that the carbon-carbon triple bond is one of the most important functional groups in medicinal and organic chemistry, only a few reports of acetylenic derivatives of betulin have been described.

In this paper we present the synthesis of new derivatives of betulin bearing one or two an acetylenic function at the C-3 and/or C-28 positions. This interest has resulted from the recognition of the value of such compounds in a wide range of biological and chemical synthetic aspects. The starting material (1) was isolated from the bark of birch by extraction with dichloromethane. Synthesis of acetylenic derivatives of betulin (4-7) has been described in scheme presented below.

The structure of all new compounds (4-7) were determined on the basis of their 1H, 13C NMR, IR and MS spectra, together with elemental analyses and for compound 4a was also confirmed by X-ray crystal analysis. All compounds were tested for cytotoxic activity against human: breast cancer (T47D), leukemia (CCRF/CEM), colorectal adenocarcinoma (SW707) and murine: leukemia (P388), (Balb3T3) cancer cell lines. Most of the obtained compound exhibited antiproliferative activity with ID 50 values ranging from 0.4 to 3.8 μg/ml, comparable to that of cis-platin used as reference compounds.

[1] G.A. Tolstikov, O.B. Flekhter, E.E. Shultz, A.G. Tolstikov, Chem Sustain Develop 13 (2005) 1-29

[2] S. Alakurtti, T. Makela, S. Koskimies, J. Yli-Kauhaluoma, Eur J Pharm Sci 29 (2006) 1-13

[3] T.G. Tolstikova, I.V. Sorokina, G.A. Tolstikov, A.G. Tolstikov, O.B. Flekhter, Russ J Bioorg Chem 32 (2006) 291-307

[4] S. Alakurtti, T. Heiska, A. Kiriazis, Bioorg Med Chem 18 (2010) 1573-1582

 

Legal notice
  • Legal notice:
 

Related papers

Presentation: Oral at VIII Multidyscyplinarna Konferencja Nauki o Leku, by Ewa B. Bębenek
See On-line Journal of VIII Multidyscyplinarna Konferencja Nauki o Leku

Submitted: 2012-04-03 09:15
Revised:   2012-04-03 13:14