Search for content and authors
 

The New Analogues of Nitrogen Mustard With One, Two or Three 2-Chloroethylamino Fragments. Reactions with Nucleophiles

Beata Kolesińska 1Danuta Drozdowska 2Zbigniew J. Kamiński 1

1. Technical University of Łódź, Institute of Organic Chemistry (PŁ), Żeromskiego 116, Łódź 90-924, Poland
2. Medical University, Department of Organic Chemistry, Mickiewicza 2A, Białystok 15-222, Poland

Abstract

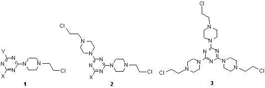
Nitrogen mustards (NM) with 2-chloroethylamino fragment are used as antineoplastic agents in therapy of cancer as nonspecific DNA alkylating agents. The antitumor activity of nitrogen mustards has been connected with their ability to cross-link the twin strands of DNA which if not repaired, can inhibit DNA replication and transcription, eventually leading to cell cycle arrest, apoptosis, and the inhibition of tumor growth. Classical NM drugs don’t operate selectivity, causing high levels of inadvertent DNA damage in normal cells, toxic and mutagenic side effects, and in some cases, leading to secondary malignancies Therefore, the search for the new analogues is continued expecting improvement of therapeutic index by modification of NM structure. In our previous report [1] we presented results of synthesis of triazines substituted with one, two or three 2-chloroethylamine moiety 1-3 and studies on the determination of apoptotic index and cell vialibility on the standard cell line of mammalian tumor MCF-7 by the compounds obtained.

iperyty.jpg

The studies shown that triazine derivatives 1-3 inhibits 50% of colony formation at the concentration in the range 13,88 µM to 146,79 µM, while the IC50 of chlorambucil is 24,6 µM. Herein, we present the studies on alkylation of broad range of nucleophiles with triazine NM 1-3.

[1] Kolesińska, B., Wąsikowska, K.; Jastrząbek, K.; Drozdowska, D.; Kamiński, Z.J., The New Water Soluble Salts, Prone To Spontaneous Decomposition With Formation Of 2-Chloroethylamino Moiety (Nitrogen Mustard Derivatives), 5-th MKNOL, Darłówko Wschodnie 2006, Book of Abstracts p. 39.

 

Legal notice
  • Legal notice:
 

Related papers

Presentation: Poster at VI Multidyscyplinarna Konferencja Nauki o Leku, by Zbigniew J. Kamiński
See On-line Journal of VI Multidyscyplinarna Konferencja Nauki o Leku

Submitted: 2008-03-15 12:18
Revised:   2009-06-07 00:48