Search for content and authors
 

Transformation of Tertiary Amines into N-Triazinylated Analogues by Treatment with Chloro-1,3,5-Triazines

Beata Kolesińska ,  Zbigniew J. Kamiński 

Technical University of Łódź, Institute of Organic Chemistry (PŁ), Żeromskiego 116, Łódź 90-924, Poland

Abstract

A survey of novel small-molecule therapeutics reveals that the majority of them result from analogue design and that their market value represents two-thirds of all small-molecule sales. Formally, definition of analogue allows the establishment of three categories: analogues possessing chemical and pharmacological similarities (direct analogues); analogues possessing structural similarities only (structural analogues); and chemically different compounds displaying similar pharmacological properties (functional analogues) [1]. Another approach for efficient search of new therapeutics involves hybrids that combine two pharmacophores expecting that the dual mode of action could be demonstrated for both of them. Recently we found conditions for mild, highly efficient N-dealkylation- triazinylation process proceeding with defined stereochemistry and high yield, involving reaction of tertiary amines with chloro-1,3,5-triazine. Considering potential activity of many triazine as topoisomerase inhibitors we attempted to introduce into triazine ring an additional structural motifs. Herein we used this approach for modification of native structure of alkaloids. 

30deal.jpg

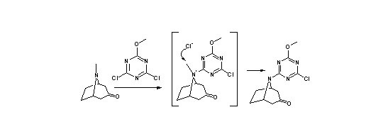
In the case of a sterically constrained bicyclic system of tropinone N-demethylated –triazinylated product with monosubstituted triazine was obtained offering a reactive centre in the triazine ring convenient for the further modification.

Acknowledgement: This work was supported by Ministry of Science and Higher Education, Grant PBZ-KBN-126/T09/15.

[1] Wermuth C.G. Drug Discovery Today, 2006, 11, 348-354.

 

Legal notice
  • Legal notice:
 

Related papers

Presentation: Poster at VI Multidyscyplinarna Konferencja Nauki o Leku, by Beata Kolesińska
See On-line Journal of VI Multidyscyplinarna Konferencja Nauki o Leku

Submitted: 2008-03-15 12:08
Revised:   2009-06-07 00:48