Search for content and authors
 

Carbocyclic minor groove binders – endonuclease inhibition

Danuta Drozdowska 

Medical University, Department of Organic Chemistry, Mickiewicza 2A, Białystok 15-222, Poland

Abstract

Model of binding of netropsin and distamycin with B-DNA became the inspiration to searches of new compounds with similar interaction to DNA. The class of synthetic heteroaromatic oligopeptides, projected after the models the netropsin and other minor groove binders, information-reading molecules, received the name lexitropsins. Although we observe a huge progress in designing distamycin and netropsin analogues, it does not get compounds so far, which could to apply in therapy.

Fig.gif

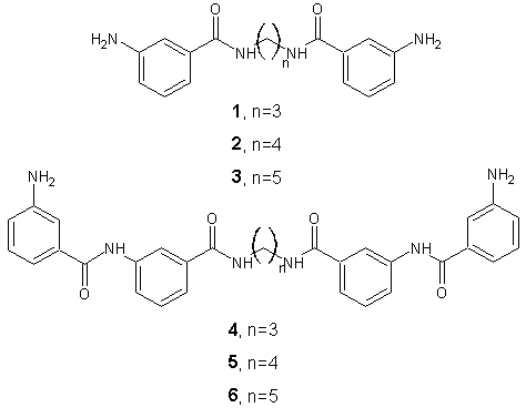
The present work is in conjunction with our ongoing programme on the syntheses and biological studies of carbocyclic potential minor groove binders. Such lexitropsins, which are readily available, can be modified easily, and are stable under most experimental conditions.

The synthesis carbocyclic potential minor groove binders 1-6 with free aromatic amine groups and their activity in the standard cell line of mammalian tumour MCF-7 were described earlier. The mechanism of action of compounds 1-6 was studied employing the topoisomerase I/II inhibition assay and ethidium displacement assay using pBR322. Determination of association constants were done with using calf thymus DNA, T4 coliphage DNA, poly(dA-dT)2 and poly(dG-dC)2. The effect of compounds 1-6 on the amidolytic activity of plasmine, trypsine, thrombin and urokinase was also examined. Here we present the effect of compounds 1-6 on the activity of different restriction endonucleases.

Financial support from the grant N N405 355537 donated by Polish M.S.H.E. is gratefully acknowledged.

 

 

Legal notice
  • Legal notice:
 

Related papers

Presentation: Poster at VII Multidyscyplinarna Konferencja Nauki o Leku, by Danuta Drozdowska
See On-line Journal of VII Multidyscyplinarna Konferencja Nauki o Leku

Submitted: 2010-02-26 10:22
Revised:   2010-04-27 09:04