Search for content and authors
 

AN APPLICATION OF CHIRAL COUPLING REAGENTS FOR ENANTIOSELECTIVE ACTIVATION OF RACEMIC N-BENZOYL- 2-HYDROXYMETHYL-2-AMINO ACIDS

Beata Kolesińska 1Toshifumi Miyazawa 3Janina E. Kamińska 2Sebastian Olczyk 2Zbigniew J. Kamiński 1

1. Technical University of Łódź, Institute of Organic Chemistry (PŁ), Żeromskiego 116, Łódź 90-924, Poland
2. Technical University of Łódź, Department of Biotechnology and Food Science, Stefanowskiego 4/10, Łódź 90-924, Poland
3. Konan University, Kobe, Japan

Abstract

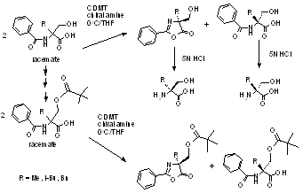
Numerous enantiomerically pure α-substituted serines were isolated from pharmaceutically interesting natural products. Due to the presence of two side chains attached to the α-carbon atom every one enantiomer of chiral α-substituted serines, (chimaeras of serine and other amino acids) belongs simultaneously to L and D family of amino acids. This cause severe problems with an application of enzymes for the resolution of readily accessible racemic α-substituted serines.

Herein, the results of enantioselective activation of racemic α-substituted serines with chiral reagents are presented. In accord to the previous studies chiral coupling reagents (accessible in situ by treatment of triazines with chiral tertiary amines) were found very efficient in the enantioselective synthesis of optically active products directly from racemic proteinogenic amino acids [1].

seryny_kopia.gif

Brucine, strychnine, quinine, quinidine, sparteine, and nicotine were used as chiral auxiliary for preparation of enantioselective coupling reagents. The optical purity of products was determined by HPLC on chiral stationary phase.

In the case of α-methylserine (R=Me) and its O-trimethylacetyl derivative, poor enantioselectivity has been observed for all amines used in this studies.

The study was supported by the Polish State Committee for Scientific Research under the Project 3 T09A 189 25.

Literature:

[1]. Kamiński; Z.J.; Kolesińska; B.; Kamińska; J.E.; Góra, J., J. Org. Chem. 66, 6276-6281 (2001).

 

Legal notice
  • Legal notice:
 

Related papers

Presentation: Poster at V Multidyscyplinarna Konferencja Nauki o Leku, by Beata Kolesińska
See On-line Journal of V Multidyscyplinarna Konferencja Nauki o Leku

Submitted: 2006-02-01 14:45
Revised:   2009-06-07 00:44