Search for content and authors
 

SYNTHESIS OF A SERIES OF 3-PHENYL- PIPERIDINE-2,6-DIONE DERIVATIVES AS POTENTIAL ANXIOLYTICS

Jerzy Kossakowski ,  Anna D. Wojciechowska 

Medical University of Warsaw, Department of Medical Chemistry, Oczki 3, Warszawa 02-007, Poland

Abstract

The class of arylpiperazines have been largely investigated as a group of compounds according to their ability to modify serotonergic neurotransmission via 5HT1A receptor interactions.

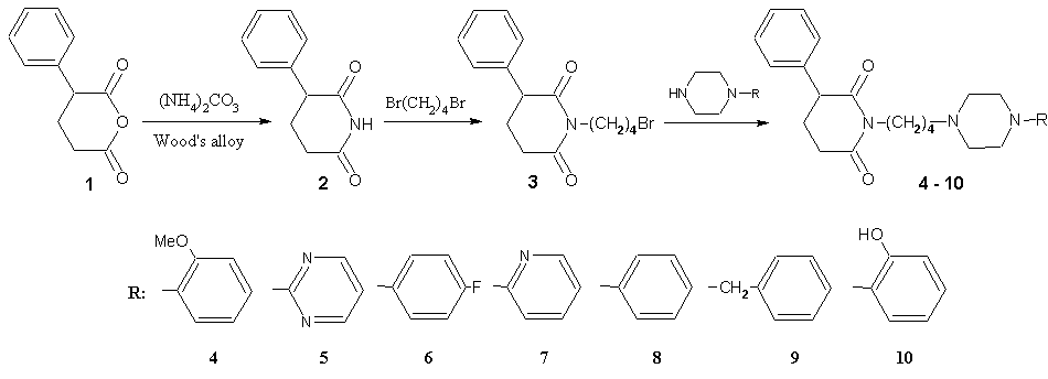
Searching for new chemical substances expected to have an anxiety-relieving character, we have designed a new series of 4-[4-aryl/heteroarylpiperazin-1-ylbutyl) derivatives of 3-phenylpiperidine-2,6-dione 2, analoges of gepirone [1,2].

By alkylation of compound 2 with 1,4-dibromobutane, 4-(4-bromobutyl) substituted derivative 3 was obtained. Next the latter was condensed with appropriate amines to yield compounds 6-10.

The structure of all derivatives of compound 2 have been established on the basis of elemental analysis and 1H NMR spectra.

Compounds 4 and 6 were given to the Department of Crystalography, UMCS in Lublin, for X-ray single-crystal analysis, performed by prof. dr hab. A.E. Kozioł.

Several compounds were given to the Department of Toxicology, The Medical University of Lublin, for pharmacological screenings, performed by prof. dr hab. E. Jagiełło-Wójtowicz.


References

  1. M. H. Paluchowska et al., Novel, flexible and conformationally defined analogs of gepirone: synthesis and 5-HT1A, 5-HT2A and D2 receptor activity; Bioorg. Med. Chem., 2005, 13(4),1195-200.
  2. M.L.Lopez-Rodriguez et al., Arylpiperazine derivatives acting at 5-HT1A receptors; Current Medicinal Chemistry, 2002, 9, 443-469.
 

Legal notice
  • Legal notice:
 

Related papers

Presentation: Poster at V Multidyscyplinarna Konferencja Nauki o Leku, by Jerzy Kossakowski
See On-line Journal of V Multidyscyplinarna Konferencja Nauki o Leku

Submitted: 2006-02-01 11:02
Revised:   2009-06-07 00:44