Search for content and authors
 

PRELIMINARY EVALUATION OF CNS EFFECTS OF ARYL- AND HETERO- ARYLPIPERAZINYL DERIVATIVES OF SELECTED ARRANGEMENTS AZATRICYCLOUNDECANE

Bożena Kuran 1Jerzy Kossakowski 1Krystyna Nędza 2Mariusz Maciejewski 3Ewa Jagiełło-Wójtowicz 3

1. Medical University of Warsaw, Department of Medical Chemistry, Oczki 3, Warszawa 02-007, Poland
2. Polish Academy of Sciences, Institute of Pharmacology, Department of Medicinal Chemistry, Smętna 12, Kraków 31-343, Poland
3. Medical University, Chodźki 1, Lublin 20093, Poland

Abstract

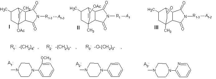
The anxiolytics of new generation, like tandospirone and buspirone, exhibit their therapeutic properties through activation of 5-HT1A subtype of serotonin receptors.

Many analogs have been synthesized and those that contain the 4-aryl/heteroaryl-piperazinylalkyl group attached to a cyclic imide, have demonstrated an anxiolytic and antidepressive activity.

Recently we obtained new derivatives of the above agents with 4-aryl/heteroaryl-piperazinylalkyl group attached to a complex imide systems which synthesis has already been reported [1].

noname00.gif

All the amine derivatives were converted to hydrochlorides and evaluated in vitro for their affinity for 5-HT1A and 5-HT2A receptors. The tested compounds showed high affinity for 5-HT1A (Ki ranged from 10 to 115 nM) and lower affinity for 5-HT2A (Ki > 181 nM).

Since it is well established that 5-HT1A ligands possess anxiolytic and antidepressive properties, ten selected compounds were further examined in some behavioural tests in mice.

The investigated new derivatives of selected arrangements azatricycloundecane were administered intraperitoneally (ip) as suspensions in 1% Tween 80 in a constant volume of 0.1 ml/kg. Control groups were given appriopriate amounts of the solvent. Of all the investigated compounds only 1-(2-methoxyphenyl)piperazinylbuthyl derivative of imide I produced antidepressive and antiserotoninergic effects. In the remaining pharmacological tests none of the investigated derivatives did not produce statistically significant effects.

1. J. Kossakowski, B. Kuran, Annals of the Polish Chem. Society, (2003) 284-8

 

Legal notice
  • Legal notice:
 

Related papers

Presentation: Poster at V Multidyscyplinarna Konferencja Nauki o Leku, by Bożena Kuran
See On-line Journal of V Multidyscyplinarna Konferencja Nauki o Leku

Submitted: 2006-02-01 08:43
Revised:   2009-06-07 00:44