Search for content and authors
 

SYNTHESIS OF CONFORMATIONALLY CONSTRAINED ARYL- OR HETEROARYLPIPE- RAZINYL DERIVATIVES OF SELECTION IMIDES AS 5 HT RECEPTOR LIGANDS.

Bożena Kuran ,  Jerzy Kossakowski ,  Mariola Krawiecka 

Medical University of Warsaw, Department of Medical Chemistry, Oczki 3, Warszawa 02-007, Poland

Abstract

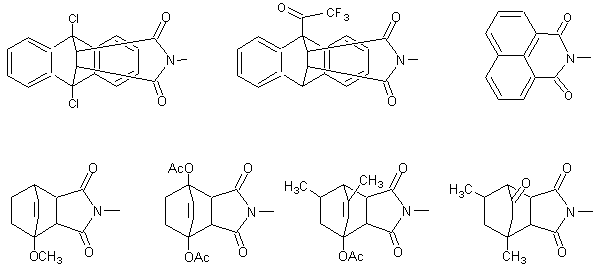
The present work describes synthesis of aryl- or heteroarylpiperazinyl derivatives of selected imides with constrain alkyl chain.

Last years studies shows that chain constraintion has significant influence on the serotonin receptors affinities [1, 2].

This work is continuation of our studies in searching of compounds with an anxiolytics and antidepressive activity.

New compounds were obtained by using cis- and trans-1,4-dichloro-2-butene and 1,2-bis(chloromethyl)benzene and amines: 1-(2-methoxyphenyl)piperazine, 1-(2-pyrimidyl)piperazine and selected imides:

noname0.gif

The structures of all compounds were established by elementary and spectroscopic analysis.

1. A. J. Bojarski et al. J. Bioorg. Med. Chem. Lett. 14 (2004) 5863-6

2. A. J. Bojarski et al. Bioorg. & Med. Chem. Vol.14 Is.5 (2006) 1391-1402

 

Legal notice
  • Legal notice:
 

Related papers

Presentation: Poster at V Multidyscyplinarna Konferencja Nauki o Leku, by Bożena Kuran
See On-line Journal of V Multidyscyplinarna Konferencja Nauki o Leku

Submitted: 2006-02-01 08:54
Revised:   2009-06-07 00:44