Search for content and authors
 

Optical Characterisation of Bulk ZnO Crystals Grown by CVT

Krzysztof P. Korona 1Katarzyna Gas 2Anna Reszka 2Paweł Skupiński 2Krzysztof Grasza 2Bogdan J. Kowalski 2Agnieszka Kamińska 3

1. Warsaw University, Institute of Experimental Physics (IEP UW), Hoża 69, Warszawa 00-681, Poland
2. Polish Academy of Sciences, Institute of Physics, al. Lotników 32/46, Warszawa 02-668, Poland
3. Institute of Physical Chemistry Polish Academy of Sciences (IPCPAS), Kasprzaka 44/52, Warsaw 01-224, Poland

Abstract

The ZnO crystals are interesting as substrate materials for ZnO homoepitaxy and for epitaxy of other II-VI materials. Such devices promise new applications in spintronics as well as for blue/UV optoelectronics, including light-emitting or even laser diodes.

ZnO crystals were grown by the chemical vapour transport method (CVT)

The time-resolved photoluminescence (TRPL) was measured using of a 30-cm spectrograph (0.05 nm resolution) and a synchroscan streak camera (2.5 ps resolution). For absorption measurements Cary 5000 spectrophotometer was used. Raman scattering was measured using Renishaw InVia Raman system

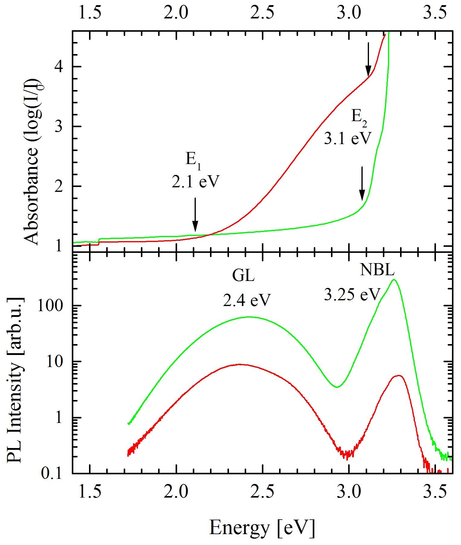
The as grown crystals had characteristic orange colour. Annealing in vacuum or oxygen led to transparent crystals. On the other hand, samples annealed in Zn stayed orange. In all cases the colour was caused by absorption band starting at 2.1 eV. Moreover, absorption band related to O vacancy at 3.1 eV was visible.

The photoluminescence spectra were composed of long-living (τ > 10 ns), green (2.4 eV) band (GL), probably related to O vacancy and the near band-gap luminescence (NBL). It could be observed (see Fig. 1.) that samples with high red absorption showed lower luminescence, with shorter NBL lifetimes (of the order of 0.1 ns).

At low temperatures (below 100 K) NBL split into series of peaks with different lifetimes, what is due to exciton formation. At 4 K (see Fig. 2) a few distinct peaks were identified: hν = 3.377 eV,  τ = 60 ps - free exciton A (FXA); 3.374 eV, 90 ps - donor bound exciton B(DXB); 3.362 eV, 300 ps - donor bound exciton A (DXA). The width (HWFM) of the DXA peak was about 2 meV, what confirms good crystal quality of the samples.

Temperature-dependent measurements revealed interesting details about carriers dynamics. The increase of temperature from 4 to 100 K caused decrease of brightness and lifetime, but further heating, above 100 K, leads to increase of carriers lifetime (but decrease of brightness). It can be explained by assumption that carrier recombination is mainly radiative and defect-related decay is less important.

Raman spectroscopy shown that samples has sharp phonon spectra (width of E2H peak FWHM = 9 cm-1). In the as grown material strong A1(TO) phonon was observed. It vanished after annealing in O2.

This work was partially supported by the National Centre for Research and Development (Poland) grant No. PBS1/A5/27/2012, by National Science Centre in Poland, grant UMO-2011/01/D/ST7/02657 and by European Union within European Regional Development Fund, through the Innovative Economy Grant: POIG.01.01.02-00-108/2009/3.

FIG_1_PL_ABS.jpgFig. 1. Room temperature absorption and PL spectra of samples annealed in vacuum (green) and in Zn vapour (red).

Fig_2_ZnO4K_CVTvac.JPGFig. 2. Time resolved spectrum at 4 K.The GL band has so long lifetime that its decay is nearly unobservable. n the other hand the FX lifetime is so short that the peak look like a dot.

in Zn rich conditions at 950oC (temperature of ZnO source material was 1050oC). Hydrogen was used as a transport agent. Three samples from one crystal were annealed in three different atmospheres: oxygen, vacuum, or zinc vapour at ~1000oC for 39 hours.

 

Legal notice
  • Legal notice:
 

Related papers

Presentation: Oral at 17th International Conference on Crystal Growth and Epitaxy - ICCGE-17, General Session 5, by Krzysztof P. Korona
See On-line Journal of 17th International Conference on Crystal Growth and Epitaxy - ICCGE-17

Submitted: 2013-04-15 21:08
Revised:   2013-07-22 10:33