Search for content and authors
 

MBE growth, structural, magnetic, and electric properties of (In,Ga)As-(Ga,Mn)As core-shell nanowires

Aloyzas Šiušys 1Maciej Sawicki 1Tomasz Wojciechowski 1Serhii Trushkin 1Maciej Zgirski 1Anna Reszka 1Sylwia I. Stefanowicz 1Bogdan J. Kowalski 1Andras Kovacs 3Piotr Dłużewski 1Slawomir Kret 1Jaroslaw Domagala 1Krzysztof Dybko 1,2Janusz Sadowski 

1. Polish Academy of Sciences, Institute of Physics, al. Lotników 32/46, Warszawa 02-668, Poland
2. Lund University, MAX-Lab, Lund 221 00, Sweden
3. Forschungszentrum Jülich, IFF, Streumethoden, Jülich 52425, Germany

Abstract
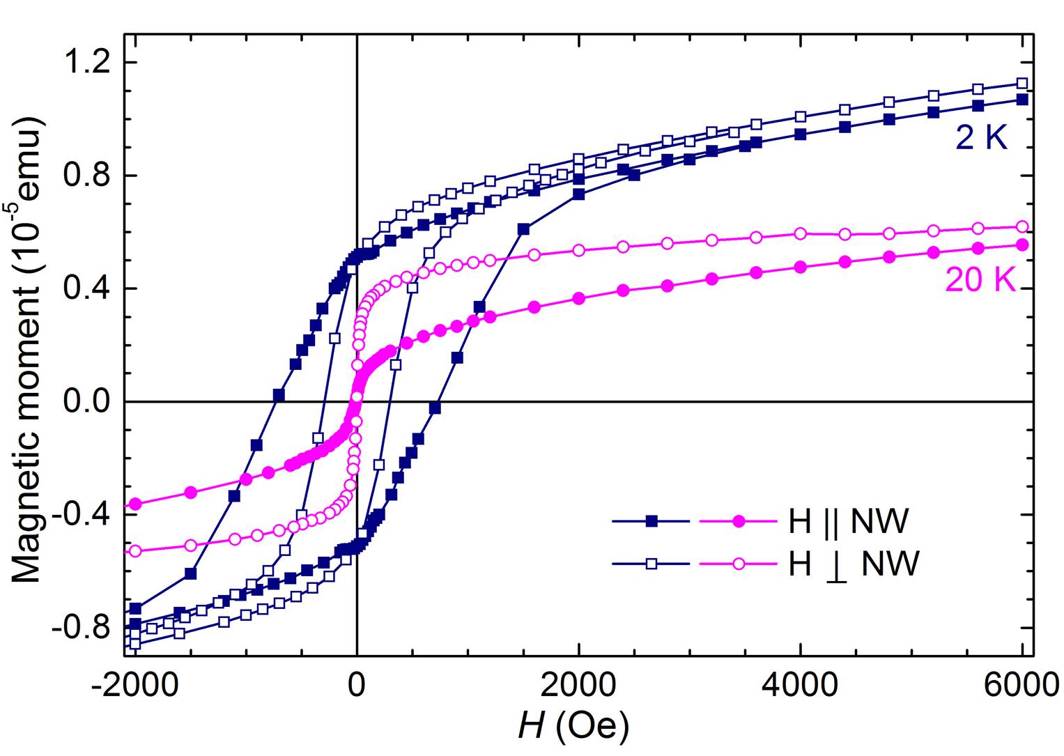
Ferromagnetic nanowires (NWs) have been proposed as a new type of nanomagnetic memory structures [1]. In this context, the investigations of NWs combining ferromagnetic materials with commercially used semiconductors like Si or GaAs are desirable. GaAs NWs combined with (Ga,Mn)As ferromagnetic semiconductor or MnAs ferromagnetic metal were recently grown by molecular beam epitaxy [2-5]. In our studies the core NWs have been grown by two methods: (i) by autocatalytic growth mode on Si(111), (ii) by Au-catalyzed growth on GaAs(111)B. The (In,Ga)As nanowire cores were grown at high temperatures (550-630 °C) whereas the (Ga,Mn)As shells were grown at low temperatures (below 250 °C). Depending on composition of the (In,Ga)As core the (Ga,Mn)As shell can be either in the compressive strain (for low In content) or in the tensile strain (for high In content) state. This influences the magnetic anisotropy of (Ga,Mn)As shell. For NWs also shape magnetic anisotropy is important, hence these two factors are determining the magnetic properties of the shells. Structural properties of the core-shell (In,Ga)As-(Ga,Mn)As NWs were investigated by scanning and transmission electron microscopy as well as x-ray diffraction techniques revealing zinc blende monocrystalline (In,Ga)As cores with nanowire axis along [111] crystal direction and side facets of (110) orientation. The NWs grown on Si possess typical diameters of about 100 nm, lengths up to 15 µm. The Au-catalyzed NWS grown on GaAs(111)B are much shorter and thinner (70 nm and 3 µm, respectively). Magnetic properties of NWs ensemble were studied by SQUID magnetometry method revealing the ferromagnetic transition around TC≈ 20 - 30 K and only moderate magnetic anisotropy for magnetic field applied along the nanowire axis or normal to it. In some (Ga,Mn)As/(In,Ga)As NWs the ferromagnetic features were observed up to room temperature due to the formation of MnAs nanoclusters. Comparison of electrical measurements of individual nanowire terminated either by platinium contacts prepared by FIB-GIS method or by titanium-gold contacts prepared by lithographic methods will be presented.

References

[1] M. Hayashi et al., Science 320, 209 (2008).

[2] J. Sadowski et al., Nano Lett. 7, 2724 (2007).

[3] A. Rudolph et al., Nano Lett. 9, 3860 (2009).

[4] J. Sadowski et al., Phys. Stat. Sol. B 248, 1576 (2011).

[5] X. Yu et al., Nano Lett. doi10.1021/nl304740k (2013).

NW_52_1.jpg NW_52_croped.jpg

Figure 1: SEM picture of Au-catalysed (In,Ga)As-(Ga,Mn)As core-shell nanowires grown on GaAs(111)B substrate (upper panel); magnetic properties of nanowires ensemble (midlle panel); optical image in dark field of isolated nanowire on Si/SiO2 substrate contacted to four terminals by e-lithographic methods (lower panel).

 

Legal notice
  • Legal notice:
 

Related papers

Presentation: Oral at 17th International Conference on Crystal Growth and Epitaxy - ICCGE-17, Topical Session 2, by Aloyzas Šiušys
See On-line Journal of 17th International Conference on Crystal Growth and Epitaxy - ICCGE-17

Submitted: 2013-03-29 13:32
Revised:   2013-07-24 21:43