Search for content and authors
 

X-ray photoemission from CdTe/PbTe/CdTe nanostructure in normal and grazing-incidence modes

Bronislaw A. Orlowski 1Jerzy Pelka 1Piotr Dziawa 1Sigitas Mickevicius 2Anna Reszka 1Bogdan J. Kowalski 1Sebastian Thiess 3Wolfgang Drube 3

1. Polish Academy of Sciences, Institute of Physics, al. Lotników 32/46, Warszawa 02-668, Poland
2. Semiconductor Physics Institute, A.Gostauto 11, Vilnius LT-2600, Lithuania
3. Hamburger Synchrotronstrahlungslabor HASYLAB (HASYLAB), Notkestrasse 85, Hamburg D-22603, Germany

Abstract

The grazing incidence X-ray photoemission spectroscopy (XPS) of near surface region of bulk materials is sensitive to the composition variation with depth and provides information about surface chemical composition. The technique has been recognized to be  particularly useful to the study of near-surface parts of materials  below c.a. 4 nm, using soft X-rays [1].

In case of mulitlayer nanostructures (ML) a variant of the grazing incidence XPS which exploits an angle-dependent E-field intensity enhancement in the films is feasible. It follows the fact, that in the multilayer structure, the photon beam impinging on the sample surface above the critical angle  undergoes partial reflections on all interfaces in the ML structure, with the resulting X-ray standing wave (XSW) formation in the sample volume. The XSW field is modulated by the angle of grazing photon beam incidence.

The E-field amplification depends on simple geometrical and electron density relations of ML components, reaching its extreme in case of so called resonant structures of planar X-ray waveguide [2]. As the intensity of  PE spectra is directly proportional to a local E-field intensity, the technique can provide enhanced information about distribution of photoemitting atoms, in the ML structure, in particular from buried layers. In the present work we demonstrate the method by comparison of a developed theoretical model and experimental XPS spectra obtained for the CdTe/PbTe/CdTe nanostructure. PbTe is a narrow-gap semiconductor widely used for mid-infrared lasers and detectors. Due to its thermoelectric properties the material is used also for small-scale cooling applications as well as for power generation in remote areas [3].

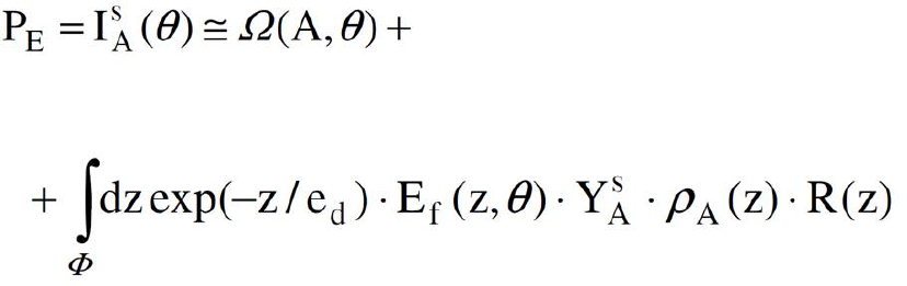
To evaluate an account of angle-dependent X-ray standing wave field generated in ML to the XPS intensity we developed a theoretical model. First, E-field distribution in function of grazing angle of incidence and sample depth has been calculated for ML sample with IMD 4.1.1, an extension to XOP software by David Windt [4, 5]. The resulting matrix of E-field values, of dimensions 100 x 1200 (depth from 0 to 10 nm × angle from 0 to 4 degrees). The E-field values were then applied as input data to calculate the angular dependence of integrated photoelectron intensity, PE, according to a number of simple models of photoelectron emission. The overall formula for the intensity of elastic photoelectrons due to the transition type s, excited in atom species A, distributed in a multilayer structure Ф, with an in-depth density distribution function ρA(z), was assumed to be:

orlo_b_2.png

 Here:  ed – escape depth of the electrons, Y – photoelectron yield. Integration extends over the sample thickness up to the depth, from where photoelectron signal is negligible. Terms Ω and R stand for effects not included in the models presented here. To obtain information about general properties of the photoelecton current  intensity in function of angle, we set  Ω = 0, R and Y = 1. We assumed the escape depth to be independent of layer density and composition as well. An example of calculated E-Field distribution is shown in Fig. 1. The angular dependence of PE current calculated for Te distribution is shown in Fig. 1 (solid line). The PE current calculations in function of photon beam angle of incidence were performed in Matlab with a program written by us.

 PE_current__arb.jpg

Fig. 1. (Solid line): Angular dependence of photoelectron current,  calculated for the Te distribution in the layered sample. Integration was performed in the domain of z<0,90> nm. (Scattered points): Experimental intensity of PE current, taken from measurements of sample 147-10CdTe-PbTe_QW recorded at station BW2 HASYLAB DESY. The last one experimental point (shown here at angle of c.a. 3.6°) is actually measured at 45° and shifted for a comparison.

To demonstrate the effect experimentally we measured the set of spectra containing: valence band, Cd3d and 4d, Pb 4f and 5d, Te 3d and 4d for different angles of incident photon beam.

The nanostructure was grown by MBE deposition at the Institute of Physics, Polish Academy of Sciences in Warsaw. The CdTe buffer layer (45 nm thick) was evaporated on GaAs (100) wafer and PbTe layer (6nm thick) was evaporated on it. The layer of PbTe  was covered  by CdTe layer of thickness 3 nm. The details of preparation can be found elsewhere [6].

The experiment was performed using the Tunable High Energy X-ray Photoemission Spectrometer (THE-XPS) at wiggler beam line station BW2 of the HASYLAB, DESY, Hamburg, Doris III storage Ring. Double crystal monochromator (Si(111) covers an energy range from 2,4 to 10keV with a monochromatic photon flux of about 5x1012 photons/s and with total energy resolution power of 0,5 eV. The experimental results are shown in fig 2.

Fig_2_2.jpg

Fig. 2. Photelectron spectra obtained at various angles of photon beam incidence shown in the left side of figure. Notice the X-ray convention of beam angle values, starting from the sample surface.

In FIg 1 the experimental results (scattered points) are compared with the above metioned theoretical model (solid line). A systematic shift in experimental intensity of the order of 0.1° was found by comparison with theoretical model. It was explained by error in goniometer adjustment. The intensity of Cd 4d peak shows at small angles, below the critical angle, values that can indicate for an increased concentration  of the cadmium atoms at the surface; this points needs a careful further investigation.

These preliminary results indicate that, in case of ML nanostructures, the angular characteristics of PE emission can provide important information about the sample structure including its homogeneity. It can also help to determine experimental conditions suitable to enhance the photocurrent intensity. To approach this goal, further work on refining the mathematical model based on a detailed comparison with experimental results is planned.

Acknowledgments: The authors acknowledge support by MSHE of Poland research Projects DESY/68/2007 and by the European Community via the Research Infrastructure Action under the FP6 Structuring the European Research Area" Programme (through the Integrated Infrastructure Initiative "Integrating Activity on Synchrotron and Free Electron Laser Science") at DESY.

References

[1] T. Jach, M.J. Chester, S.M. Thurgate; Grazing incidence X-ray photoemission and its implementation on synchrotron light source X-ray beamlines, Nucl. Instrum. Meth. Phys. Res. A 347 (1994) 507-509.

[2] J.B. Pełka, A. Cedola, S. Lagomarsino, S. Di Fonzo, W. Jark, G. Soullie; Application of Resonance-Enhanced X-Ray Propagation Effect to the Study of Layered Structures by GIXR and Secondary Radiation, J. Alloys Compds. 286 (1999) 313-321

[3] M. Bukała, P. Sankowski, R. Buczko, P. Kacman; Crystal and electronic structure of PbTe/CdTe nanostructures, Nanoscale Res. Lett. 6 (2011) 126-132

[4] D. L. Windt, IMD - Software for modelling the optical properties of multilayer films, Comput. Phys. 12 (1998) 360-370.

[5] B. L. Henke, E. M. Gullikson, and J. C. Davis, X-ray interactions: photabsorption, scattering, transmission, and reflection at E-50-30,000 eV, Z=1-92, Atomic Data and Nuclear Tables 54 (1993)

[6] M. Szot, L. Kowalczyk, E. Smajek, V. Domukhovski, J. Domagala, E. Lusakowska, B. Taliashvili, P. Dziawa,W. Knoff, M. Wiater, T. Wojtowicz, T. Story, Epitaxial Growth and Optical Properties of PbTe/CdTe Semiconductor Heterostructures, Acta Phys. Polon. A 114 (2008) 1391-1396.

 

Legal notice
  • Legal notice:
 

Related papers

Presentation: Poster at IX Krajowe Sympozjum Użytkowników Promieniowania Synchrotronowego, by Bronislaw A. Orlowski
See On-line Journal of IX Krajowe Sympozjum Użytkowników Promieniowania Synchrotronowego

Submitted: 2011-06-14 16:00
Revised:   2011-09-19 21:48