Search for content and authors
 

SYNTHETIC ANALOGUES OF NETROPSIN WITH POTENTIAL ALKYLATING PROPERTIES

Anna Pućkowska ,  Krystyna Midura-Nowaczek ,  Monika Dudzińska 

Medical University, Department of Organic Chemistry, Mickiewicza 2A, Białystok 15-222, Poland

Abstract

Several antitumour agents act by binding within the minor groove of double stranded DNA and interfering with both replication and transcription. One of most studied minor groove binders are the oligopeptide antibiotics netropsin and distamycin. The attachment of reactive moieties to the N-terminus of these compounds increased the affinity of the attached group to the minor groove. From this point of view, netropsin, distamycin and their synthetic analogues, named lexitropsins, are excellent carriers of alkylating elements [1]. Carbocyclic lexitropsins possess greater curvature of molecules and bind to DNA more weakly than parent netropsin and distamycin, but they interfere with catalytic action of topoisomerases and show antiproliferative activity [2].

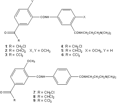
In the course of our investigations of carbocyclic lexitropsins [3], compounds 1-9 with chloroacetyl, dichloroacetyl and trichloroacetyl as the N-terminal groups were obtained. The alkylating activity in the Preussmann's test [4] and cytotoxic effect on the proliferation of MCF7 cell cultures were studied.

wzory_1.GIF

  1. C. Bailly, J. B. Chaires, Bioconjugate Chem. 1998, 9, 513-531.
  2. D. Bartulewicz, K. Bielawski, A. Bielawska: Arch. Pharm. Pharm. Med. Chem. 2002, 9, 422-426.
  3. A. Pućkowska, K. Bielawski, A. Bielawska, K. Midura-Nowaczek, Eur. J. Med. Chem. 2004, 39, 99-105.
  4. R. Preussmann, H. Schneider, F. Epple, Arzneim.-Forsch. 1969, 19, 1059-1073.
 

Legal notice
  • Legal notice:
 

Related papers

Presentation: Poster at V Multidyscyplinarna Konferencja Nauki o Leku, by Anna Pućkowska
See On-line Journal of V Multidyscyplinarna Konferencja Nauki o Leku

Submitted: 2006-01-27 13:25
Revised:   2009-06-07 00:44