Search for content and authors
 

SYNTHESIS AND ANTIBACTERIAL ACTIVI- TY OF DL-THREO-1-(1-METHYL-4-NITRO- PYRROLE-2-YL)-2-DIFLUOROACETAMIDO- PROPANE-1,3-DIOL

Dorota Krajewska ,  Krystyna Midura-Nowaczek 

Medical University, Department of Organic Chemistry, Mickiewicza 2A, Białystok 15-222, Poland

Abstract

Among over 2000 synthesized compounds of the structure similar to chloramphenicol [1], only three found use in therapy: thiamphenicol, azidamphenicol and florfenicol. The heteroaromatic analogs of chloramphenicol are insignificantly active or inactive. The only exception is the thiophene analogue with the activity of 50% in relation to the racemic chloramphenicol.

Pyrrole analogs of chloramphenicol are known to exhibit the selective significant activity only against strains from the Enterobacteriaceae family and high activity against Gram-positive and Gram-negative bacteria [2,3].

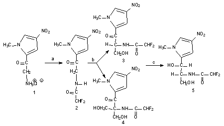
The synthesis of comound 5 was performed according to the procedure showen in the scheme below.

rysunek_1.GIF

Reagents and conditions: (a) CHF2COOH, SOCl2, Et3N, temp. 0 oC, THF; (b) HCHO, NaHCO3, EtOH; (c) (i-PrOH)3Al, i-PrOH

The structure of compounds 2-5 were confirmed by means of 1H NMR and 13C NMR spectrometry. Compound 5 (DL-threo) presents insensibility antibacterial activity.

References:

  1. Korzybski T., Kowszyk-Gindifer Z., Kuryłowicz W.: in: Antybiotyki. Pochodzenie, rodzaje i właściwości, PZWL, Warszawa, 1977, str. 403-409.
  2. Krajewska D., Różański A., J. Antibiotics (Tokyo) 1999, 52, 1140
  3. Krajewska D., Dąbrowska M., Jakoniuk P., Różański A., Acta Pol. Pharm. 2000, 59, 127.
 

Legal notice
  • Legal notice:
 

Related papers

Presentation: Poster at V Multidyscyplinarna Konferencja Nauki o Leku, by Dorota Krajewska
See On-line Journal of V Multidyscyplinarna Konferencja Nauki o Leku

Submitted: 2006-01-26 09:49
Revised:   2009-06-07 00:44