Search for content and authors
 

AMINO ANALOGUES OF DNA MINOR GROOVE BINDER PENTAMIDINE - SYNTHESIS AND STRUCTURAL STUDIES

Jerzy Żabiński ,  Dorota Maciejewska 

Medical University of Warsaw, Faculty of Pharmacy, Department of Organic Chemistry (AM), Banacha 1, Warszawa 02-097, Poland

Abstract

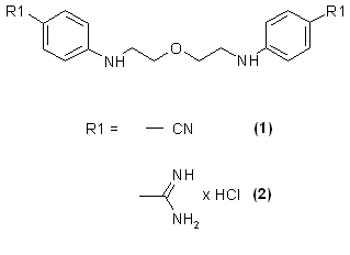
Pneumocystis pneumonia (PCP), caused by Pneumocystis carinii, is the opportunistic infection in people with weakened immune system. Available therapies (for example those using pentamidine) have many adverse effects and are limited by toxicity. Therefore we have designed and synthesized new pentamidine analogs with amino groups (Fig. 1).

jurek.PNG

Fig. 1. Synthesized compounds.

We analyzed the solid state 13C CP/MAS NMR spectra of obtained compounds and discussed their conformations, intermolecular interactions and polymorphism.

Comparison of melting points between d(CGCGAATTCGCG)2 DNA fragment and its complex with 1,5-bis[(4-amidinophenyl)amino]-3-oxapentane dihydrochloride (2) proves that this compound could bind to minor grove of DNA.

 

Legal notice
  • Legal notice:
 

Related papers

Presentation: Poster at V Multidyscyplinarna Konferencja Nauki o Leku, by Jerzy Żabiński
See On-line Journal of V Multidyscyplinarna Konferencja Nauki o Leku

Submitted: 2006-01-19 11:17
Revised:   2009-06-07 00:44