Search for content and authors
 

MICROWAVE-ASSISTED SYNTHESES OF SUBSTITUTED COUMARINS

Elżbieta Hejchman ,  Dorota Maciejewska 

Medical University of Warsaw, Faculty of Pharmacy, Department of Organic Chemistry (AM), Banacha 1, Warszawa 02-097, Poland

Abstract

The use of microwave energy in organic synthesis is becoming very popular and many reactions are becoming accessible. An advantage of microwave-catalyzed reactions, is that they can take place under solvent-free conditions (eco-friendly process) compared to conventional heating; in addition, lower reaction times and higher yields are generally obtained.

The procedures are easy to perform and the reactions can be conducted in solvent free conditions and lead to almost quantitative yields of products.

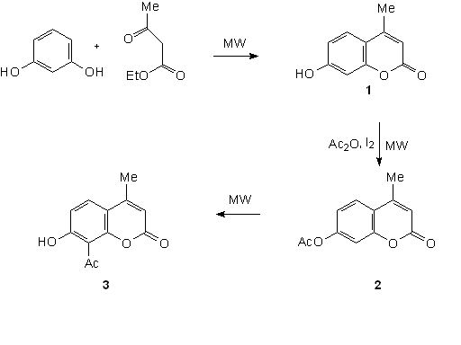
We report the microwave-assisted synthesis of an useful byproduct: 8-acetyl-7-hydroxy-4-methylcoumarin (see Fig. 1).

ela.PNG

Fig. 1. Scheme of synthesis.

13C CP/MAS NMR spectra of compounds 1-3 were analyzed to elucidate the structural details.

 

Legal notice
  • Legal notice:
 

Related papers

Presentation: Poster at V Multidyscyplinarna Konferencja Nauki o Leku, by Elżbieta Hejchman
See On-line Journal of V Multidyscyplinarna Konferencja Nauki o Leku

Submitted: 2006-01-19 10:30
Revised:   2009-06-07 00:44