Search for content and authors
 

Y308 is a key residue of the β2-adrenoceptor to distinguish the Gs selective derivatives of fenoterol

Anita Płazińska 1Karolina Pająk 1Lucita Jimenez 2Lawrence Toll 3Anthony Woo 4Rui-Ping Xiao 4Irving W. Wainer 5Krzysztof Jóźwiak 1

1. Uniwersytet Medyczny (UM), al. Racławickie 1, Lublin 20-059, Poland
2. SRI International (SRI), 333 Ravenswood Ave, Menlo Park 94025, United States
3. Torrey Pines Institute for Molecular Studies, Port St Lucie 34987-2352, United States
4. Peking University, Beijing, P.R. China, 100871, Beijing 100871, China
5. National Institute on Aging (NIA), 5600 Nathan Shock Dr, Baltimore, MD 21222, United States

Abstract

β2 adrenergic receptors (β2-ARs) belong to the large family of the G protein-coupled receptors (GPCRs). With almost 50–60% of drugs in the market targeting GPCRs, they are the most important family of receptors in the drug discovery field.

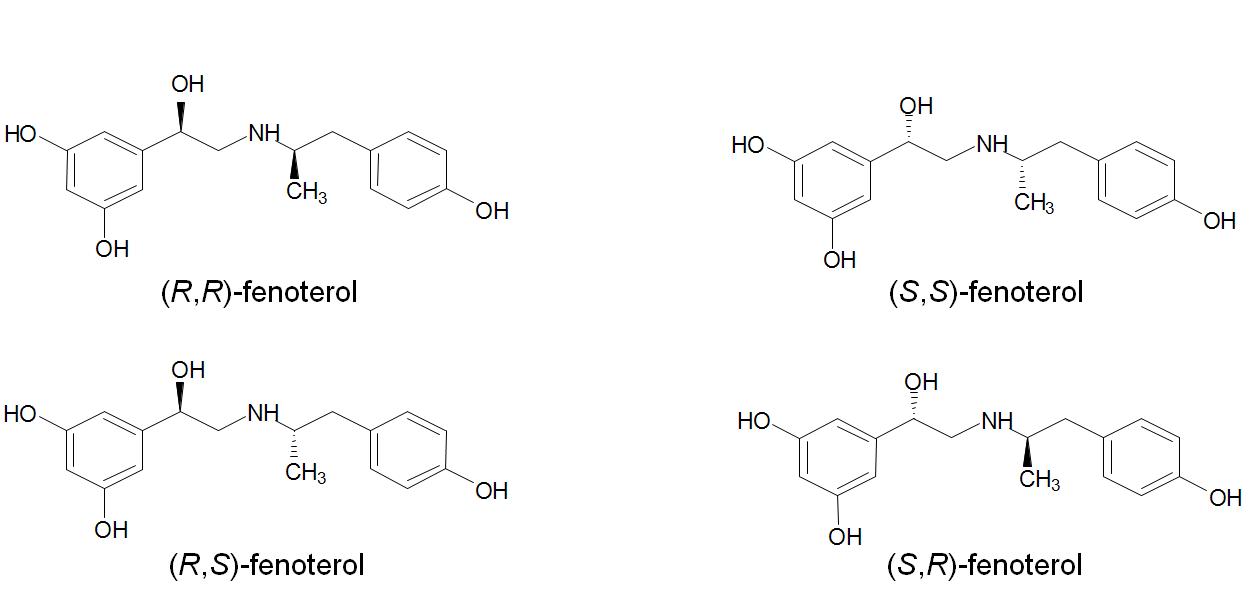
We studied stereoisomers of fenoterol (Fig. 1) and its derivatives which are a selective β2-AR agonists [1,2].

 Fig. 1. Stereoisomers of fenoterol.

 Our studies show the association of molecular structure fenoterol analogs with significant differences in activation patterns of the β2-AR. The results of the pertussis toxin -controlled (PTx-controlled) myocyte contraction analysis indicate that subtle changes in a chemical constitution of fenoterol derivatives play a decisive role in inducing Gs selective or Gs/Gi (G stimulatory/G inhibitory) patterns of receptor coupling [3]. While (R,R)-isomers of fenoterol, 4-methoxy-fenoterol and 4-amino-fenoterol activate β2-AR to a form which couples selectively to Gs protein (group A, Gs selective compounds), the receptor activated by e.g. 1-naphtyl-fenoterol or 4-methoxy-1-naphtyl-fenoterol is able to couple uniformly both Gs and Gi proteins (group B, non Gs selective).

Molecular modeling studies show that hydrogen bond (HB) formation between N-alkyl moiety of a ligand with Y3087.35 is a key interaction distinguishing Gs selective derivatives from others, non selective derivatives. This hypothesis has been positively validated using Y308A mutant of the β2-AR: Gs selectivity of the mutant is lost in the experiments with (R,R)-fenoterol and (R,R)-4-amino-fenoterol. The Y308A mutant shows significantly reduced affinities for compounds of group A as compared with the wild type-related data (WT β2-AR). When compounds of group B were tested on the mutant, their binding affinity (Ki) were not affected by Y308A mutation and were very close to those determined for WT β2-AR.

In addition, docking studies indicate two alternative binding modes of studied compounds interacting with β2-AR in its binding site. The binding pattern depends on the structure of the N-alkyl part of these derivatives. The molecules containing benzyl ring substituted in the 4’ position with oxygen or nitrogen atom are able to form HB with Y3087.35 (group A) independently from interactions with the aromatic cleft. These derivatives while in the (R,R)-stereoconfiguration, induce PTx insensitive contractile response. If a derivative contains the naphtyl moiety (group B), the Π-Π interactions with residues forming the aromatic cleft of the receptor seem to be dominated.

 

 Grant information: NIH/NIA contract N01AG-3-1009 and Foundation for Polish Science grant TEAM 2009-4/5.

 1.      Jóźwiak K, Khalid C, et al., J. Med Chem. 2007;50(12):2903-15.

2.      Jóźwiak K, Woo YH, et al., Bioorg Med Chem 2010;18(2):728-736.

3.      Woo AY, Wang TB, Zeng X, Zhu W, Abernethy DR, Wainer IW, Xiao RP. Mol Pharmacol. 2009;75(1):158-65.

 

Legal notice
  • Legal notice:
 

Related papers

Presentation: Poster at VIII Multidyscyplinarna Konferencja Nauki o Leku, by Anita Płazińska
See On-line Journal of VIII Multidyscyplinarna Konferencja Nauki o Leku

Submitted: 2012-03-26 23:11
Revised:   2012-04-10 12:27