Search for content and authors
 

Differential aspects of molecular interactions fenoterol stereoisomers and derivatives with the β2-adrenergic receptor

Anita Płazińska 1Karolina Pająk 1Krzysztof Jóźwiak 1Irving W. Wainer 2

1. Medical University of Lublin, Laboratory of Medicinal Chemistry and Neuroengineering, Chodźki, Lublin 20-093 Lub, Poland
2. National Institute on Aging (NIA), 5600 Nathan Shock Dr, Baltimore, MD 21222, United States

Abstract

The b2 adrenergic receptor system is one of the best characterized among G-protein coupled receptors. In the current project the stereoisomers of fenoterol and a series of fenoterol analogues were synthesized and tested for β2-AR activity and selectivity [1,2].

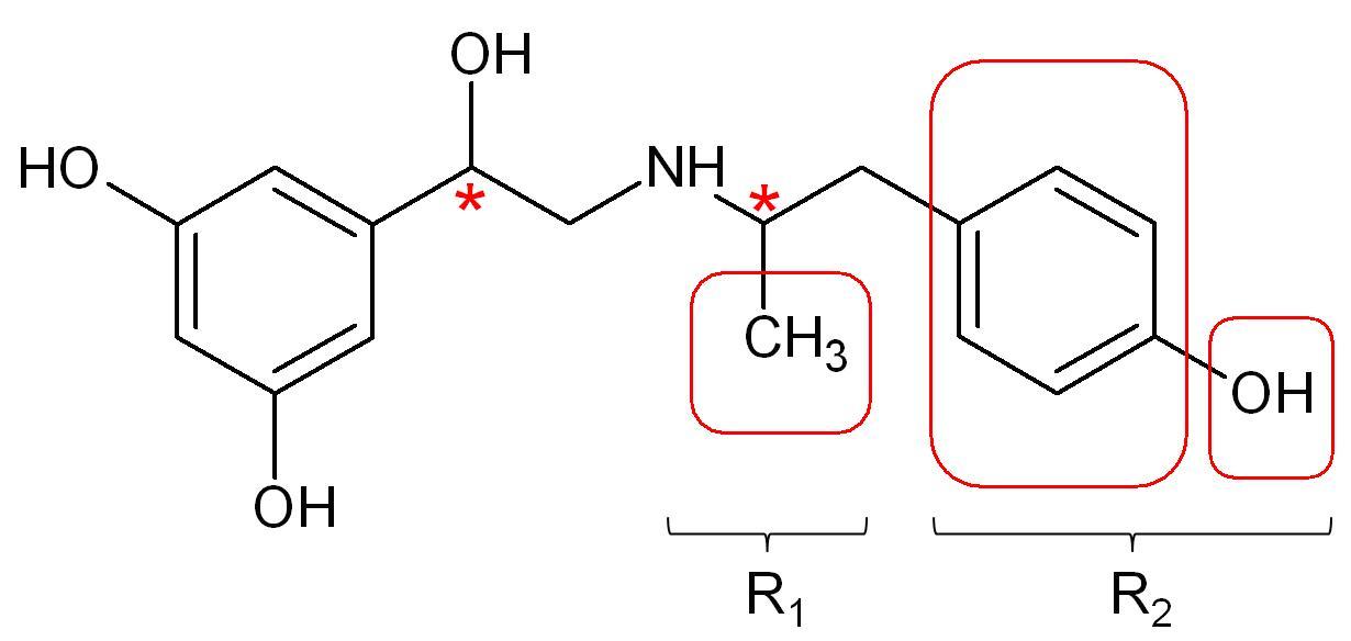
Fig. 1. The structure of (R,R)-fenoterol in which the sites on the molecule probed in this study are circled in red. Chiral centers are indicated with asterisks.

 The data demonstrate that the stereochemistry of the fenoterol molecule influences the magnitude of binding affinity, the thermodynamics of local interaction of ligand within the binding site and the global mechanism of activation of the β2-AR as evidenced by the Gs/Gi selectivity observation [3, 4].

In the present study we used stereoisomers of fenoterol and some of its derivatives as a molecular probe to identify the role of Y3087.35 in their binding process and Gs selectivity. Molecular modeling suggested two alternative binding modes of these molecules interacting within the binding site: (i) compounds having 4-hydroxy-/4-methoxy-/amino-phenyl moiety create hydrogen bond (HB) with Y3087.35 (group A), (ii) compounds containing 4-methoxy-1-naphtyl/1-naphtyl moiety do not form HB with Y3087.35 and in fact are bended deeper allowing their naphtyl moieties to occupy the cleft formed by a network of the aromatic residues (group B). Our study showed that the interaction with Y3087.35 is essential to observe β2‑AR/β1-AR selectivity for compounds of group A (Gs selective), while it has a little effect on binding derivatives containing the naphthyl moiety (group B, which is not Gs selective). Y308A mutant showed significantly reduced affinities for compounds belonged to group A as compared with the wild type data. This trend was not observed for the analogues belonged to B group. This suggest that the naphthyl moiety plays more significant role in stabilization of the agonist–β2-AR complex.

 

Grant information: NIH/NIA contract N01AG-3-1009 and Foundation for Polish Science grant TEAM 2009-4/5.

1.      Jóźwiak K, Khalid C, et al., J. Med Chem. 2007;50(12):2903-15.

2.      Jóźwiak K, Woo YH, et al., Bioorg Med Chem 2010;18(2):728-736.

3.      Woo YH, Wang TB, et al., Mol. Pharmacol. 2009;75(1):158-165.

4.      Jóźwiak K, Toll L, et al., Biochem. Pharmacol. 2010;79(11):1610-1615.

 

Legal notice
  • Legal notice:
 

Related papers

Presentation: Oral at VIII Multidyscyplinarna Konferencja Nauki o Leku, by Anita Płazińska
See On-line Journal of VIII Multidyscyplinarna Konferencja Nauki o Leku

Submitted: 2012-03-21 14:20
Revised:   2012-03-21 14:20