| Search for content and authors |
Synthesis of marker compounds for detailed explanation the mechanism of anticancer activity of peptidomimetics with β-acyloxymethacrylic fragment |
| Szymon Kłossowski 1, Małgorzata Firczuk 2, Angelika Muchowicz 2, Jakub Golab 2, Ryszard Ostaszewski 1 |
|
1. Instytut Chemii Organicznej Polskiej Akademii Nauk (ICHOPAN), Kasprzaka 44/52, Warszawa 01-224, Poland |
| Abstract |
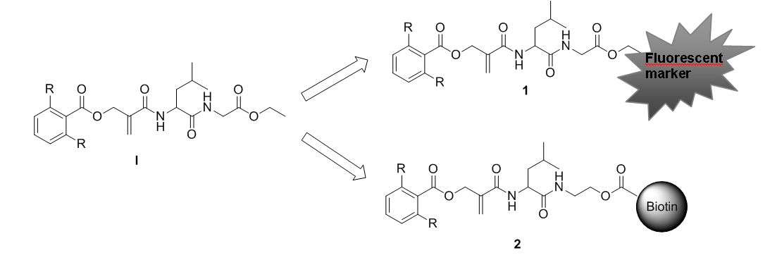
During recent studies on development new inhibitor of thioredoxin system inhibitors, the new class of β-acyloxyamides I has been found. Studied peptidomimetics exhibited interesting biological properties and were very potent anticancer agents either in vitro (in cellular assays) or in vivo (mice model). [1,2]
Detailed mechanistic studies indicated, however, that compound I activates apoptotic pathways not only by inhibiting the thioredoxin system. To establish mechanism of action of new compounds in a cell, we developed marker compounds containing fluorescent fragments as well as biotinylated compounds 1 and 2. Here, we will present the proposed methodology as well as the results of studies on the synthesis of compounds 1 and 2. [1]: Klossowski, S., Muchowicz, A., Firczuk, M., Swiech, M., Redzej, A., Golab, J., Ostaszewski, R., J. Med. Chem. 2012, 55, 1, p. 55 - 67 [2]: Ostaszewski, R., Klossowski, S., Szokalska, A., Swiech, M., Ziuzia I., Golab, J., Patent App. PK/1081/AG |
| Legal notice |
|
| Related papers |
Presentation: Poster at VIII Multidyscyplinarna Konferencja Nauki o Leku, by Szymon KłossowskiSee On-line Journal of VIII Multidyscyplinarna Konferencja Nauki o Leku Submitted: 2012-03-14 09:38 Revised: 2012-05-10 09:29 |