Search for content and authors
 

Chemoenzymatic approach to the synthesis of bioactive tripeptide mimetics for treatment of cancer

Ryszard Ostaszewski ,  Szymon Kłossowski ,  Michał Mroczkiewicz 

Institute of Organic chemistry of the Polish Academy of Sciences (ICHOPAS), Kasprzaka 44/52, Warsaw 01-224, Poland

Abstract

Biocatalysis is a methodology of growing importance among organic chemists aiming at the synthesis of bioactive compounds, resulting in the establishment of many successful synthetic protocols[1]. Main reason for this is an enormous selectivity of biocatalysts.

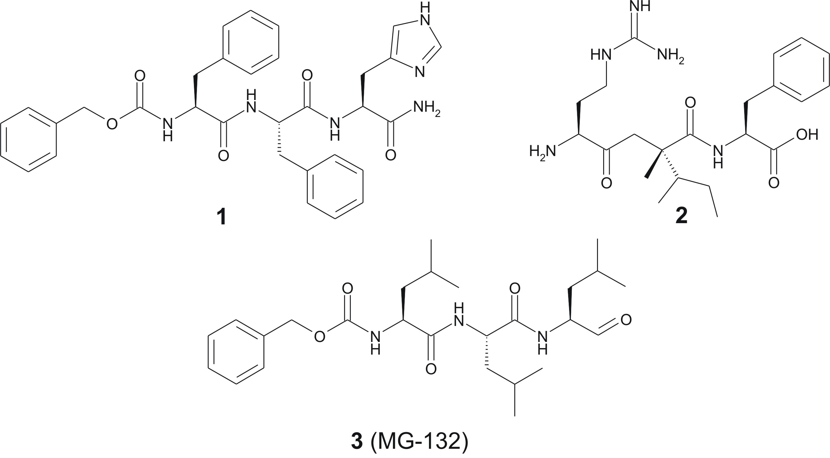
Tripeptides and tripeptide mimetics are widely investigated due to their biological activity. Among them, an anti-inflammatory agent 1, an antibiotic 2, and human rhinovirus 3C protease inhibitors can be found.

Tripeptides with C-terminal aldehyde group are of special interest. Compound 3 (Mg- 132) is a potent and selective inhibitor of 20S proteasome, which is often used as a reference in biomedical studies.

The results of our studies on the successful combination of mutlicomponent reactions with enzymatic transformations to the synthesis of bioactive tripeptide mimetics, will be presented [2,3,4].

 [1] K. Faber. Biotransformations in Organic Chemistry - A Textbook. Springer-Verlag, Berlin, 5th edition, 2004.

[2] Szymanski, W., Ostaszewski, R.; Tetrahedron, 17, 2667-2671, 2006.

[3] Mroczkiewicz M., Ostaszewski R., Tetrahedron, 65, 4025-4034, 2009.

[4] Mroczkiewicz M.,Winkler K.,Nowis D.,Placha G.,Golab G.,Ostaszewski R., J. Med. Chem., 53, 1509–1518, 2010.

 

Legal notice
  • Legal notice:
 

Related papers

Presentation: Oral at VII Multidyscyplinarna Konferencja Nauki o Leku, by Ryszard Ostaszewski
See On-line Journal of VII Multidyscyplinarna Konferencja Nauki o Leku

Submitted: 2010-03-12 11:33
Revised:   2010-04-01 09:59