Search for content and authors
 

The Competition Between P=O···X (X = I, Br) Interaction and P=O···H Hydrogen Bond in Iodine- and Bromine Compounds Containing an O,C,O-coordinating Pincer-Type Ligand

Paweł Horeglad 1,2Marcus Schürmann 1Janusz Lewiński 2Klaus Jurkschat 1

1. Dortmund University, Lehrstuhl für Anorganische Chemie II, Otto-Hahn-Straße 6, Dortmund D-44221, Germany
2. Warsaw University of Technology, Faculty of Chemistry, Noakowskiego 3, Warszawa 00-664, Poland

Abstract

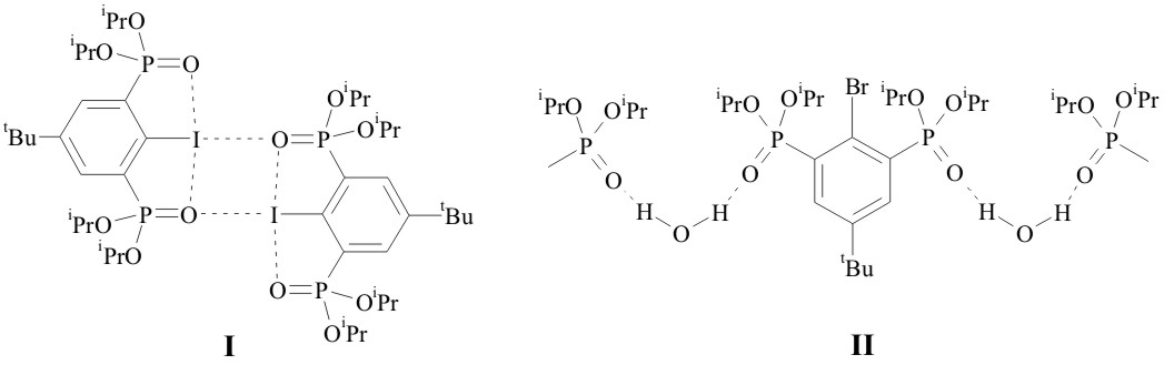
The O,C,O-coordinating pincer-type ligands {2,6[P(O)(OR)2]2-4-t-Bu-C6H2}- (R = i-Pr; Et) were successfully applied for the synthesis of a series of hypercoordinated organosilicon, organotin, and organolead compounds [1]. For the bromine derivative {2,6[P(O)(OR)2]2-4-t-Bu-C6H2Br}, P=O···H-C(aromatic) bonds were formed and no P=O···Br-C interactions were observed [2], although interactions of this type are reported in the literature. We anticipated that the replacement of ypso hydrogen in the case of {2,6[P(O)(OR)2]2-4-t-Bu-C6H3} with iodine may lead to the novel iodine derivative with P=O···I-C interactions due to much softer character and higher tendency for the formation of hypervalent complexes of I+ in comparison with Br+. Finally, the examples of C-I···O=P interactions are relatively rare, despite secondary I···O bonds represent an essential feature of structural chemistry of hypervalent iodine and has also been recognized as an important noncovalent interaction that can be exploited for the rational design of supramolecular structures.

1_1.jpg

The iodine derivative [{2,6[P(O)(Oi-Pr)2]2-4-t-Bu-C6H2}I]2 (I) and, for the sake of comparison, bromine derivative {2,6[P(O)(Oi-Pr)2]2-4-t-Bu-C6H2}Br (II) were synthesized in the reaction of the organolithium derivative {2,6[P(O)(Oi-Pr)2]2-4-t-Bu-C6H2}Li with ICl and Br2, respectively. The analysis of the crystal structure of I revealed the novel coordination mode of iodine with both inter- and intramolecular C-I···O=P weak interactions that lead to the formation of dimeric structure. It must be noticed that linear character of O···I-C bridges reminds linear hypervalent I3- molecule with I-I-I close to 180°. In contrast, in bromine derivative II monomeric units form polymer chain via strong P=O···HOH···O=P hydrogen bonds that efficiently compete in this case with potential C-Br···O=P interactions.

[1] K. Paveling, K. Dannappel, M. Schürmann, B. Costisella, K. Jurkschat, Organometallics 2006, 25, 368.

[2] M. Henn, K. Jurkschat, R. Ludwig, M. Mehring, K. Paveling, M. Schürmann, Z. Anorg. Allg. Chem. 2002, 628, 2940.

 

Legal notice
  • Legal notice:
 

Related papers

Presentation: poster at 18th Conference on Physical Organic Chemistry, Posters, by Paweł Horeglad
See On-line Journal of 18th Conference on Physical Organic Chemistry

Submitted: 2006-06-26 12:41
Revised:   2009-06-07 00:44