Search for content and authors
 

SYNTHESIS OF GLIMEPIRIDE - CRYSTAL STRUCTURE ANALYSIS STEP BY STEP

Katarzyna Korczak 1Adam Andrzej Pietraszko 2Katarzyna Badowska-Rosłonek 1Hanna M. Beczkowicz 1

1. Pharmaceutical Research Institute (IF), Rydygiera 8, Warszawa 01-793, Poland
2. Polish Academy of Sciences, Institute of Low Temperature and Structure Research (INTiBS), Okólna 2, Wrocław 50-422, Poland

Abstract

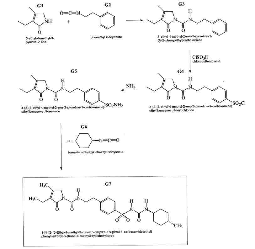
The chemical formua of glimepiride is 1-{4-[2-(3-ethyl-4-methyl-2-oxo-2,5-dihydro- 1H-pirrol-1-carboxamido)ethyl]phenylsulphonyl}-3-trans-(4-methylocykloheksyl)urea. Glimepiride is a new oral antidiabetic drug in the sulfonylurea class having a prolonged effect. Glimepiride synthesis is outlined in Scheme [1].

Schemat_reakcji.jpg

The single crystal structure of Glimepiride (G7) was determined by W. Grell & col. [3] (code: TOHBUN01 in database CSD). An aim of our work was the determination of unknown crystal structure of compounds G3 and G5. The crystal structures of the G3 and G5 were determined using single crystal X-ray diffraction method. We have found that commercial G3 contained contamination, which was identified as N,N'-bis(2-phenylethyl)urea (X3) [4]. Conformation of molecules and their packing in the crystal structures (Figure 1 and 2 shows the projestion of molecules) will be discussed .

wersja3.jpg

References:

1 EP0031058 -1981-07-01 (HOECHST AG), "Sulfonyl ureas, processes for their preparation and pharmaceutical compositions containing these compounds".

2 C. Michaux & col., Acta Cryst., 2002, C58, 621-623.

3 E. Yureiv & col., J. Med Chem., 2004, 39, 835-847.

4 W. Grell, R. Hurnaus, G. Griss, R. Sauter, E. Rupprecht, M. Mark, P. Luger, H. Nar, H. Wittenben, P. Muller, J. Med. Chem., 1998, 41, 5219.

 

Legal notice
  • Legal notice:
 

Related papers

Presentation: Poster at V Multidyscyplinarna Konferencja Nauki o Leku, by Katarzyna Korczak
See On-line Journal of V Multidyscyplinarna Konferencja Nauki o Leku

Submitted: 2006-02-28 10:14
Revised:   2009-06-07 00:44