Search for content and authors
 

PREPARATION OF NEW DERIVATIVES OF 2-ARYLSULFONYLIMINO-6-ALKYLPERHYDROPYRIDO[4,3-d]PIPERYMIDINE WITH POTENTIAL PHARMACOLOGICAL ACTIVITY.

Elżbieta Szacoń ,  Marzena Rządkowska 

Medical University, Faculty of Pharmacy, Department of Synthesis and Chemical Technology of Pharmaceutical Substances, Staszica 6, Lublin 20-081, Poland

Abstract

Synthetic derivatives of pyrimidine are a significant group of medicines that is characterized by varied pharmacological activity, hypoglycaemics among others.

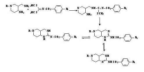
When searching new compounds with potential pharmacological activity 2-arylsulfonylimino-6-alkylperhydropirydo[4,3-d]pyrymidines derivatives were obtained. These compounds were synthesized by condensation of dimethyl N-arylsulfonyliminodithioic acid esters with respective 1-alkyl-3-amine-4-amine- methylpiperydines, isolation of intermadiate products (isothiourea derivatives ) and their thermal cyclization to 2-arylsulfonylimino-6-alkylperhydropirydo[4,3-d]pyrimidines.

Cyclic derivatives obtained in that way can exist in three tautomeric forms ( see scheme)

ela_1.gif

R = Cl R1 = C2H5

R = CH3 R1 = C2H5

R = CH3 R1 = C3H7

The structure of new compounds was confirmed by elemental analysis, as well by the 1H NMR, 13C NMR and MS spectra.

 

Legal notice
  • Legal notice:
 

Related papers

Presentation: Poster at V Multidyscyplinarna Konferencja Nauki o Leku, by Elżbieta Szacoń
See On-line Journal of V Multidyscyplinarna Konferencja Nauki o Leku

Submitted: 2006-02-27 08:33
Revised:   2009-06-07 00:44