Search for content and authors
 

COMPARISON OF THE STABILITY OF 5-AMINOLEVULINIC ACID AND HIS ESTERS

Zbigniew Dąbrowski 1Jarosław Kamiński Jacek Cybulski Lidia Lewicka 1Miron Kaliszewski 2Mirosław Kwaśny 2Barbara Kąkol 

1. Instytut Chemii Przemysłowej (IChP), Rydygiera 8, Warszawa 01-793, Poland
2. Military University of Technology, Institute of Optoelectronics (IOE), Kaliskiego 2, Warszawa 00-908, Poland

Abstract

5-Aminolevulinic acid (ALA) I is commonly used in photodynamic therapy (PDT) and photodiagnosis (PD). Applied exogenously it is selectively metabolised in neoplastic tissues to yield actual photosensitizer: protoporphyrin IX (PpIX). The compound under light irradiation in reaction with molecular oxygen dissolved in tissue environment gives singlet oxygen responsible for necrosis of tumour tissues.

5-Aminolevulinic acid is used for therapy of skin diseases: Bowen's disease, basal cell carcinoma (BCC), acne; is also used for therapy and diagnosis of bladder, lungs and stomach tumours, in gyneacology and laryngology.

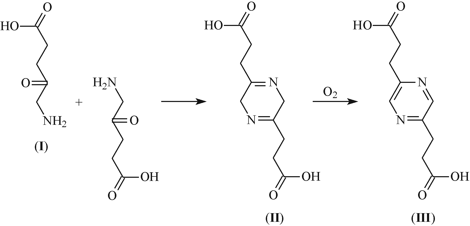
ALA has limited stability. The compoud in aqueous solution at physiological pH condenses to yield dihydropyrazine (II) and pyrazine (III) derivatives. The rate of the condensation is dependent on concentration of compound, temperature and pH value. Scheme of the reacion is shown below.

Rysunek1.gif

The aim of the work was comparison of the stability of ALA and chosen esters: methyl, ethyl, butyl and hexyl at different pH values (5,0; 5,5; 6,3 and 7,2). Concentration of 5-aminolevulinic acid and esters at time was determined by HPLC method.

 

Legal notice
  • Legal notice:
 

Related papers

Presentation: Poster at V Multidyscyplinarna Konferencja Nauki o Leku, by Barbara Kąkol
See On-line Journal of V Multidyscyplinarna Konferencja Nauki o Leku

Submitted: 2006-02-21 09:21
Revised:   2014-10-14 12:43