Search for content and authors
 

STEROIDAL SAPONINS FROM CONVALLARIA MAJALIS

Karolina Dąbrowska-Balcerzak 1Jadwiga Nartowska 2Iwona Wawer 1

1. Medical University of Warsaw, Faculty of Pharmacy, Department of Physical Chemistry, Banacha 1, Warszawa 02-097, Poland
2. Medical University of Warsaw, Faculty of Pharmacy, Department of Pharmacognosy, Banacha 1, Warszawa 02-095, Poland

Abstract

Saponins are glycosides, widely distributed in the plant kingdom, consisting of a sugar moiety linked to a triterpene or steroid aglycone (sapogenin). They are constituents of many plant drugs and folk medicines, especially from the Orient.

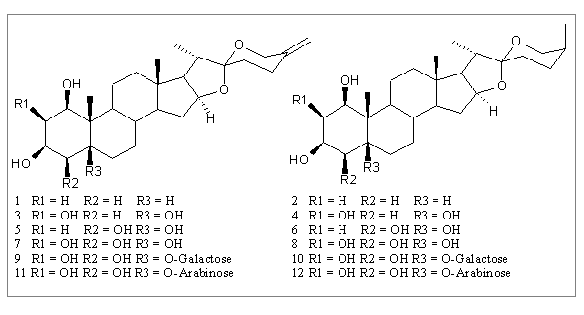
New spirostanol sapogenins and saponins with several OH groups were isolated from C. majalis from the family Liliaceae. In Poland, Herba C. majalis is used as a medicinal material due to cardiac glycosides content. Recently, several new tetra- and penta-hydroxylated sapogenins and saponins have been isolated (from the roots and rhizomes), and identified using 1D and 2D NMR techniques. These new saponins were tested for antiangiogenic activity and the convallamaroside was proved to be effective [1]. Biological properties of polyhydroxy compounds are related to their ability to form hydrogen bonds with water molecules.

The octanol-water partition coefficient (log P) was calculated for model compounds with different number and localization of OH groups in A-ring using semi-empirical method implemented in HyperChem 7.0 package.

Intramolecular and intermolecular hydrogen bonds formed by three, four or five OH groups as well as their influence on low-energy conformation have been analyzed.

1. Nartowska J., Sommer E., Pastewka K., Sommer S., Skopińska-Różewska E. Anti- angiogenic activity of convallamaroside, the steroidal saponin isolated from the rhizomes and roots of C.majalis L. Acta Polon.Pharm. Drug Res. 61 (2004)279-282

 

Legal notice
  • Legal notice:
 

Related papers

Presentation: Poster at V Multidyscyplinarna Konferencja Nauki o Leku, by Karolina Dąbrowska-Balcerzak
See On-line Journal of V Multidyscyplinarna Konferencja Nauki o Leku

Submitted: 2006-02-13 16:18
Revised:   2009-06-07 00:44