Search for content and authors
 

REACTIONS OF 3-(MORPHOLIN-4-YL)PRO- PIONIC ACID HYDRAZIDE WITH ISOTHIOCYANATES

Monika Wujec ,  Monika Pitucha ,  Maria Dobosz 

Medical University, Faculty of Pharmacy, Department of Organic Chemistry, Staszica 6, Lublin 20-081, Poland

Abstract

Organic compounds containing aromatic heterocyclic rings have received considerable attention among medicinal chemists because many of them play a role in various biochemical processes. 1,2,4-Triazole and morpholine derivatives belong to an aromatic heterocyclic group exhibiting a wide range of biological activities, such as antimicrobial and anti-inflammatory.

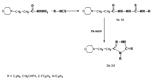
In general, 3,4-disubstituted-1,2,4-triazole could be prepared by the intramolecular dehydrative cyclization of 1,4-disubstituted thiosemicarbazides.

In our experiments the hydrazide of 3-(morpholin-4-yl)propionic acid was used as a starting material for the preparation of thiosemicarbazide derivatives 1a-1d. Next, cyclization of these compounds led to new compounds 2a-2d with a promising pharmacological activity.

rysunek_1.gif

The structure of all new compounds was confirmed by elemental analysis, as well as by the IR, and 1H NMR spectra.

 

Legal notice
  • Legal notice:
 

Related papers

Presentation: Poster at V Multidyscyplinarna Konferencja Nauki o Leku, by Monika Wujec
See On-line Journal of V Multidyscyplinarna Konferencja Nauki o Leku

Submitted: 2006-02-03 09:17
Revised:   2009-06-07 00:44