Search for content and authors
 

THE STRUCTURE OF AZO-ANALOGS OF 8-STYRYLXANTHINES - X-RAY AND MOLECULAR MODELLING STUDIES

Przemysław Talik 1Maciej Pawłowski 1Wieslaw Lasocha 2

1. Jagiellonian University, Medical College, Department of Pharmaceutical Chemistry, Medyczna 9, Kraków 30-688, Poland
2. Jagiellonian University, Faculty of Chemistry, Ingardena 3, Kraków 30-060, Poland

Abstract

mknol_1.gif

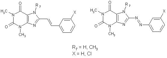
Phenylazoxanthines are less potent than corresponding styrylxanthine derivatives. In styrylxanthines, methylation in the N7 position increases A2A-AR affinity, while decreasing A1-affinity. In azo analogs, A2A-affinity is also increased by 7-methylation of the xanthine structure (from 19 to 27-fold), but A1-affinity is increased as well, although to smaller extent (about 3-fold). As observed for styrylcaffeines, a meta-chloro substituent on the phenyl ring increased A2A-affinity about 2-fold, virtually without having any effect on A1-affinity, thus increasing A2A-selectivity. In azo analogs group the presence of chloro- or bromo-substituents makes no differneces in affinity.

With the aim to find the nature of those differnces we did an x-ray analysis of 8-fenylazo-7-methylxanthine. Than we made molecular modelling calculations of this derivative and other azo-anologs as well as corresponding styrylxanthines in 2 data bases.

 

Legal notice
  • Legal notice:
 

Related papers

Presentation: Poster at V Multidyscyplinarna Konferencja Nauki o Leku, by Przemysław Talik
See On-line Journal of V Multidyscyplinarna Konferencja Nauki o Leku

Submitted: 2006-01-31 23:03
Revised:   2009-06-07 00:44