Search for content and authors
 

New tetrapyrrole derivatives as NO-independent sGC activators

Dorota Gryko 

Instytut Chemii Organicznej Polskiej Akademii Nauk (ICHOPAN), Kasprzaka 44/52, Warszawa 01-224, Poland

Abstract

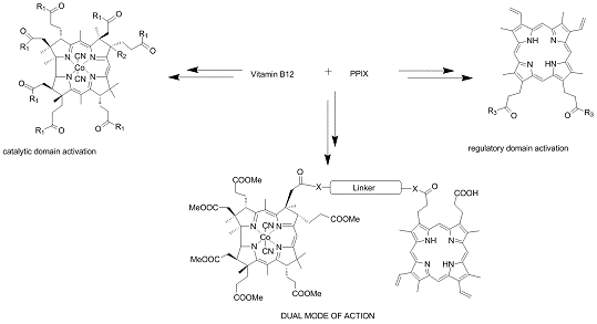
Over the past decade there has been much interest in NO-independent soluble guanyl cyclase (sGC) activators. sGC operates via activation of nitric oxide (NO) and plays an important role in cardiovascular homeostasis, platelet function, angiogenesis and neurotransmission.1 Currently, sGC regulation is achieved by using various NO releasing organic nitrates or nitrovasodilators such as nitroglycerine, trinitrate, isosobide dinitrate and isosobide-5- mononitrate. NO-activators although effective, are known to rapidly induce tolerance and have a limited mode of delivery. However, it has been discovered that natural tetrapyrroles, such as protophorphyrin IX (PPIX) and vitamin B12 derived cobainamide ((CN)2Cbi), can act as NO-independent sGC acitivators.2-4 Moreover, modes of activation differ for each compound; PPIX activates through the regulatory domain while (CN)2Cbi activates via the catalytic domain.4

Hence our goal was to synthesise novel hydrophobic and hydrophilic cobinamide derivatives via aminolysis of cobalamin and examine their potential as sGC activators. Moreover, since both PPIX and vitamin B12 derivatives can stimulate sGC enzyme via different domain activation. In order to achieve a synergistic effect a series of hybrid molecules were obtained using two synthetic strategies: copper (I) catalyzed alkyne–azide 1,3 dipolar cycloaddition (CuAAC, ’click’ reaction) and selective amide formation between vitamin B12 and PPIX derivatives.

References:

[1] Waldman, S. A. et al. Pharmacol. Rev. 2000, 52, 373.

[2] Ignarro, L. J. J. Physiol. Pharm. 2002, 53, 503.

[3] Waldman, S. A.; Murad F. et al. J. Biol. Chem. 1984, 259, 4038.

[4] Martin, E., Gryko, D. et al. J. Pharmacol Exp Ther. 2012, 340, 723-732.

 

Legal notice
  • Legal notice:
 

Presentation: Invited oral at IX Multidyscyplinarna Konferencja Nauki o Leku, by Dorota Gryko
See On-line Journal of IX Multidyscyplinarna Konferencja Nauki o Leku

Submitted: 2014-03-17 15:02
Revised:   2014-05-02 13:01