Search for content and authors
 

Adsorption of gallium on GaN(0001) surface in ammonia rich conditions - Density Functional Theory (DFT) study

Pawel Kempisty 1Pawel Strak 1Stanisław Krukowski 1,2

1. Polish Academy of Sciences, Institute of High Pressure Physics (UNIPRESS), Sokolowska 29/37, Warszawa 01-142, Poland
2. University of Warsaw, Interdisciplinary Centre for Mathematical and Computational Modelling (ICM), Pawinskiego 5a, Warsaw 02-106, Poland

Abstract

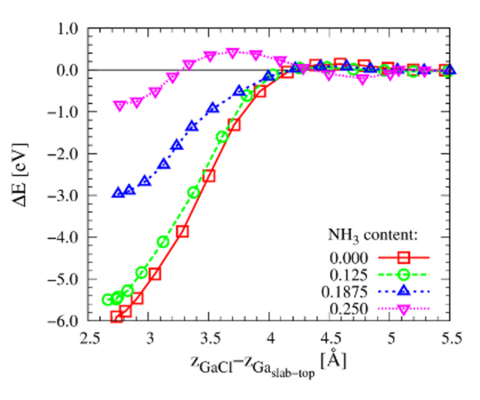
Density Functional Theory (DFT) calculations were used to determine the adsorption energy of GaCl molecule on the GaN(0001) surface covered with mixture of NH3 admolecules and NH2 radicals. This corresponds to physical conditions during GaN growth by hydride vapor phase epitaxy method (HVPE). The average content of ammonia in the mixture of admolecules have been estimated to be in the range 25-32 percent. We present a series of adsorption curves for surface with various NH3/NH2 ratio. We show that the adsorption energy of GaCl molecule strongly depends on the composition of this mixture. Gallium chloride is strongly attached (with energy of about 6 eV) when the surface is covered mostly by NH2 radicals. For comparison, we also show the adsorption of InCl molecule on the same surface. With the increase of ammonia content the adsorption energy of both species decreases significantly. Termination of the InCl adsorption occurs at lower NH3/NH2 ratio than termination of GaCl adsorption. That suggests the above factor contributing to the fact that InGaN growth requires different conditions than growth of pure GaN.

Adsorption energy of GaCl molecule on GaN(0001) surface covered with mixture of NH3/NH2 admolecules.

 

Legal notice
  • Legal notice:
 

Related papers

Presentation: Poster at 17th International Conference on Crystal Growth and Epitaxy - ICCGE-17, General Session 1, by Pawel Kempisty
See On-line Journal of 17th International Conference on Crystal Growth and Epitaxy - ICCGE-17

Submitted: 2013-04-24 15:41
Revised:   2013-07-29 10:26