Search for content and authors
 

Assessment of selected synthesis of bosentan towards elimination of known impurities.

Wojciech Łuniewski ,  Katarzyna Sidoryk ,  Marta Kościuch ,  Maria Puchalska 

Abstract

Bosentan is first oral dual endothelin A and B receptor (ETA/ETB) antagonist. The drug is indicated for the treatment of pulmonary arterial hypertension (PAH). In patients with systemic sclerosis and ongoing digital ulcer disease it is used for the reduction of new digital ulcers.

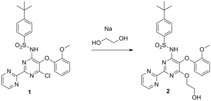
schemat_1.JPG

In selected synthesis of bosentan (2) the reaction of halogenoderivative (1) with sodium glycolate is carried out in the excess of ethylene glycol [1] (scheme 1). Reaction is accompanied by formation of two main impurities known as “deshydroxyethylbosentan” and” dimer”. First of them appears to be a product of bosentan molecule degradation process, while the second is formed as a result of substitution of both hydroxyl groups of ethylene glycol with two molecules of the starting compound 1.

Modern quality requirements for active pharmaceutical ingredients permit the amount of a single, known impurity below 0,15 %. Available literature data indicate that raw bosentan obtained that way should be purified by means of three subsequent crystallizations but level of impurities in such purified material still exceed acceptable limit [2, 3].

Considering implementation of this synthetic method for manufacturing of bosentan critical selection of particular reaction condition is required to achieve reduction of impurities level at the stage of synthesis before any purification method is applied. We investigated dependence between impurities level and selected process parameters such as temperature, reaction time and amount of sodium glycolate used in the reaction in order to propose most favourable conditions for evaluated process. In process control as well as impurities level monitoring was performed, by means of HPLC analysis of raw reaction mixtures.

[1] EP 0526708 B1

[2] Organic Process Research & Development 2002, 6, 120-124

[3] http://www.ema.europa.eu/docs/en_GB/document_library/EPAR_Scientific_Discussion/human/000401/WC500041457.pdf
 

Legal notice
  • Legal notice:
 

Related papers

Presentation: Poster at VIII Multidyscyplinarna Konferencja Nauki o Leku, by Wojciech Łuniewski
See On-line Journal of VIII Multidyscyplinarna Konferencja Nauki o Leku

Submitted: 2012-03-30 15:06
Revised:   2012-04-13 13:38