Search for content and authors
 

Comparative permeation studies of tacalcitol through the human skin from brand product versus generic product

Edyta B. Pesta-Dynda 1Katerina Vavrova 2Anna M. Zielińska 1Joanna Zagrodzka 1Grzegorz Huszcza 1Andrzej Kutner 1Barbara Skolova 2

1. Pharmaceutical Research Institute (IF), Rydygiera 8, Warszawa 01-793, Poland
2. Charles University in Prague, Faculty of Pharmacy in Hradec Kralove, Hradec Kralove 500 05, Czech Republic

Abstract

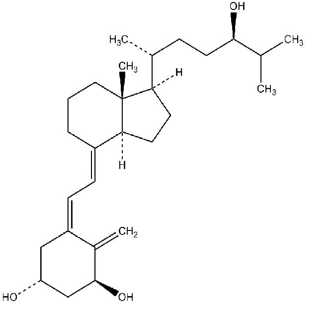
Tacalcitol is one of the analogues of vitamin D3 used to treat plaque psoriasis. Its chemical structure is as follows:

taca.JPG

with the chemical name: (1S, 3R, 5Z, 7E, 24R) – 9,10 – secocholesta – 5,7,10 – triene – 1,3,24 – triol. The clinical efficacy of the keratolytic product is difficult to assess taking into account the influence of others ingredients. The comparative studies of in vitro release testing and skin permeation provide a lot of details in the whole development of the manufacturing process.

The objective of this study was to compare the permeation of tacalcitol through human breast skin in the brand product versus a generic cutaneous lotion manufactured by Pharmaceutical Institute. Ex vivo permeation was investigated using a Franz diffusion cell. The method of the extraction was developed and the recovery was examined in the range from 5 ng to 50 ng of the active substance. The skin extracts were analysed using the HPLC method with normal phase at the flow rate 0.6 mL/min. and a UV detector. The concentration of tacalcitol was analysed in the stratum corneum and in both layers- epidermis/dermis. It was observed that the permeation of tacalcitol from both formulations tested was comparable.

 

Legal notice
  • Legal notice:
 

Related papers

Presentation: Poster at VIII Multidyscyplinarna Konferencja Nauki o Leku, by Edyta B. Pesta-Dynda
See On-line Journal of VIII Multidyscyplinarna Konferencja Nauki o Leku

Submitted: 2012-03-27 14:21
Revised:   2012-04-13 13:33