Search for content and authors
 

An improved preparation of 3,5-bis(2-cyanoisopro- pyl)toluene - key intermediate in Anastrozole synthesis

Magdalena Jezierska-Zięba 1Michał Fedoryński 2Grzegorz Pikus 2

1. Industrial Chemistry Research Institute (ICRI), Rydygiera 8, Warszawa 01-793, Poland
2. Warsaw University of Technology, Faculty of Chemistry, Koszykowa 75, Warszawa 00-662, Poland

Abstract

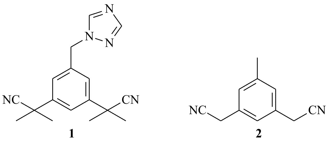
Anastrozole 1 is a highly selective aromatase inhibitor, used in advanced breast cancer treatment of post menopausal women.

Rys_Anastrozole_1.JPG

A key step in synthesis of 1 is exhaustive methylation of 3,5-bis(cyanomethyl)toluene 2, synthesized from commercially available 5-methylisophthalic acid [1]. Methylation of 2 was performed using sodium hydride in DMF as a base and methyl iodide [2] or methyl p‑toluenesulphonate [1] as alkylating agents. Application of phase transfer catalysis (PTC) for this purpose was patented [3] (methyl bromide or chloride, 50% aq NaOH in the presence of a catalyst, benzyltriethylammonium chloride), however purity of product obtained precluded its use for synthesis of 1 [4]. It is well known, that introduction of the second alkyl group to the 2-arylalkanenitriles under standard PTC conditions proceeds with difficulty. However, it was found recently, that replacement of the typical 50% aq NaOH by 60-75% aq KOH results in substantial improvements in the overall yields and purity of products of alkylation, and especially bis alkylation of arylacetonitriles [5, 6].

Application of such system to the methylation of 2 (methyl bromide, 60% aq KOH, tetrabutylammonium bromide, TBAB as a catalyst, toluene) resulted in formation of tetramethylated product 3 in high yield and purity [7]. Methyl bromide, however, is much more expensive then methyl chloride, commonly used in alkylation reactions.

Now, we have found, that the use of methyl chloride for alkylation of 2, carried out under PTC conditions, results in the formation of 3 in high yield and after one crystallization, high purity. Optimization experiments were carried out using model 1,3-bis(cyanomethyl)benzene.

 Rys_Anastrozole_2.JPG

  1. Y. Mei, Y. Luo, W. Lu, Org. Prep. Proc. Int., 40, 487 (2008).
  2.  a. Z. M. Ge, J. L. Cui, T. T. M. Cheng, R. T. Li, Chin. J. Med. Chem., 13, 146 (2003); b. T. Jackson, L. W. L. Woo, M. N. Trusselle, S. K. Chander, A. Purohit, M. J. Reed, B. V. L. Potter, Org. Biomol. Chem., 5, 2940 (2007).
  3.  O. Achmatowicz, W. Pucko, E. Chojecka-Koryn, G. Grynkiewicz, W. Szelejewski, J. Zagrodzka, G. Cieplucha, Pat. PL 197 935 (2006).
  4. E. Chojecka-Koryn, B. Zagrodzki, Przem. Chem., 85 (338 (2006).
  5. M. Barbasiewicz, K. Marciniak, M. Fedoryński, Tetrahedron Lett., 47, 3871 (2006).
  6. M. Fedoryński, M. Jezierska-Zięba, B. Kąkol, Przem. Chem., 88, 872 (2009).
  7. M. Fedoryński, B. Kąkol, Communication of The Seventh Multidisciplinary Conference on Drug Research, Zakopane 10-12.05.2010, Book of Abstracts, p. 6.
 

Legal notice
  • Legal notice:
 

Related papers

Presentation: Poster at VIII Multidyscyplinarna Konferencja Nauki o Leku, by Magdalena Jezierska-Zięba
See On-line Journal of VIII Multidyscyplinarna Konferencja Nauki o Leku

Submitted: 2012-03-27 09:37
Revised:   2012-05-09 23:59