Search for content and authors
 

Searchıng for new ısoxazole derıvatıves wıth potentıal ımmunorestorıng actıvıty

Marcin Mączyński 1Michał Zimecki 2Aleksander Koll 3Ewa Drozd-Szczygieł 1Aleksandra Sochacka-Ćwikła 1Stanisław Ryng 1

1. Wrocław Medical University, Faculty of Pharmacy, Department of Organic Chemistry, Grodzka 9, Wrocław 50-137, Poland
2. Polish Academy of Sciences, Institute of Immunology and Experimental Therapy (IITD), Rudolfa Weigla 12, Wrocław 53-114, Poland
3. Wrocław University, Faculty of Chemistry, 14 F. Joliot-Curie, Wrocław 50-383, Poland

Abstract

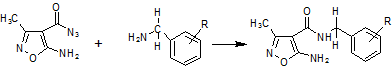
Our investigations of biological activity of isoxazole derivatives showed very interesting immunological properties. Searching for new active immunomodulators we synthesized a few groups of isoxazole derivatives, which showed significant immunological activity in several in vitro and in vivo assays in mice  and humans [1-8]. A new series of substituted benzylamides of 5-amino-3-methyl-4-isoxazolecarboxylic acid (I) was synthesized in reaction of substituted benzylamines with 5-amino-3-methyl-4-isoxazolecarboxylic acid azide [9]. Each of these new structures opens possibility of a variety of structural modification. Pure products were obtained in average yields, therefore the optimal conditions were determined. The change of parameters of the reactions (temperature, equivalent of reagents, solvents etc.) lead to different products and of course, may influence on efficiency and/or purity of the obtained products. Described benzylamides of 5-amino-3-methyl-4-isoxazolecarboxylic acid (I) will be used as a starting material for the synthesis a new isoxazole derivatives. Structures of new compounds (I) were proven with elemental analysis and IR, NMR spectroscopy.

                                                                                                          (I)

The influence on the PHA-induced proliferation of human mononuclear blood cells and toxicity to the PHA-induced proliferation of human mononuclear blood cells of derivatives (I) were tested. Preliminary assays showed very interesting immunosupresory and anti-inflammatory activities with low toxicity. Computational study, molecular modeling and structure/activity relationship was performed.

Study was supported by grant of Polish National Science Centre nr N N405 682840.

References:

[1] M.Mączyński et al., Acta Pol.Pharm., 61, 2004, 82-83. [2] M. Mączyński, et al., Cell.Mol.Biol.Lett., 10, 2005, 613-623.[3] M. Mączyński et al.,Acta Pol.Pharm., 60, 2, 2003, 147-150. [4] A.Jezierska, et al., Arch.Pharm.Pharm.Med.Chem., 337, 2, 2004, 81-89. [5] S. Ryng, et al., Pharmacol Rep., 57, 2, 2005, 195-202; [6] M. Zimecki, et al., Pharmacol Rep., 58, 2, 2006, 236-241; [7] Michał Zimecki, et al.,Pharmacol.Rep. 2008 Vol.60 nr 2; s.183-189; [8] Zimecki M., et al., Acta Pol. Pharm. Drug Res., 2008, 65, 794; [9] Stanisław Ryng, et al., Synthesis and X-ray structure of new 5-amino-methyl-4-isoxazolecarboxylic acid azides J.Chem.Crystallogr. 1994 Vol.24 no.8; s.483-488

 

Legal notice
  • Legal notice:
 

Related papers

Presentation: Poster at VIII Multidyscyplinarna Konferencja Nauki o Leku, by Marcin Mączyński
See On-line Journal of VIII Multidyscyplinarna Konferencja Nauki o Leku

Submitted: 2012-03-14 12:19
Revised:   2012-03-15 10:43