Search for content and authors
 

Synthesis and in vitro screening of antiproliferative activity of C-glycosides, the derivatives of genistein and daidzein in selected cancer cell lines

Piotr Świerk 1Wiesław Szeja 1Radosław Kitel 1Aleksandra Rusin 2Katarzyna Papaj 2

1. Silesian University of Technology, Department of Organic Chem., Bioorganic Chem. and Biotechnol., Krzywoustego 4, Gliwice 44-100, Poland
2. Centrum Onkologii-Instytut im. M.Skłodowskiej-Curie Oddział w Gliwicach (I.O.), Al. Wybrzeża AK15, Gliwice 44-101, Poland

Abstract

Isoflavones genistein and daidzein show beneficial activity on human health. They help to reduce  moderate menopause symptoms, prevent cardiovascular disease and cancer progression. However, their low bioavailability is basic limitation in clinical use of these compounds. Many examples shows, that functionalization of isoflavones can significantly change their bioavailability and ability to interact with defined molecular targets. 

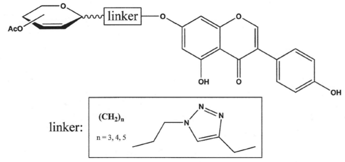
do_wklejenia_2_1.png

We created a library of chemical compounds, in which sugar and isoflavon (Y = OH - genistein, Y = H – daidzein) are connected together by C-glycosidic bond via linkers of various structure. Synthesis of these compounds occurs through the stage of 2,3-unsaturaded C-glycosides, the derivatives of para-methoxyphenol or allyl C-glycosides. In result of simple chemical transformations we obtained corresponding C-glycosides with Br or N3 group on the end of carbon chain in the aglycone. Finally, in result of reactions of genistein or daidzein derivatives we received final compounds shown on upper scheme.

The series of genistein and daidzein derivatives were tested in the in vitro assays for their antiproliferative activity, influence on the cell cycle and apoptosis induction. We found some compounds more active than the parent compounds and exhibiting different mode of action.

Our results indicate that both the sugar and a linker structure plays important role for the biological activity of the derivatives.

[1] Dixon R. A., Ferreira D. Phytochemistry. 2002, 60, 205-211.

[2] A. Rusin, Z. Krawczyk, G. Grynkiewicz, A. Gogler, J. Zawisza-Puchałka, W. Szeja, Acta Biochimica Polonica, 2010, 57, 23-34 and adduced literature.

Acknowledgement: This project was supported by National Science Center, Poland (N N204 203340)

 

Legal notice
  • Legal notice:
 

Related papers

Presentation: Poster at VIII Multidyscyplinarna Konferencja Nauki o Leku, by Piotr Świerk
See On-line Journal of VIII Multidyscyplinarna Konferencja Nauki o Leku

Submitted: 2012-03-12 08:23
Revised:   2012-03-29 10:31