Search for content and authors
 

Zmiany mikrostruktury nanokryształów chromu pod wpływem wygrzewania – badania metodą dyfrakcji promieniowania synchrotronowego

Dariusz Wardecki 1Radosław Przeniosło 1Andy Fitch 2Mirko Bukowski 3Rolf Hempelmann 3

1. Instytut Fizyki Doświadczalnej, Wydział Fizyki, Uniwersytet Warszawski, Hoża 69, Warszawa 00-681, Poland
2. European Synchrotron Radiation Facility (ESRF), Grenoble 38043, France
3. Institute of Physical Chemistry, University of Saarland, Saarbrücken D66123, Germany

Abstract

Chrom posiada interesującą strukturę magnetyczną, która wielokrotnie była badana i opisana w literaturze [1]. W monokryształach chromu (a także w próbkach polikrystalicznych), poniżej temperatury Neel'a TN= 310 K, występuje tzw. fala gęstości spinowej z długością modulacji ok. 6.5 nm. Interesującym wydaje się poznanie wpływu rozmiaru małych ziaren chromu (rzędu 25 nm) w tzw. nanokryształach (n-Cr) na wyżej wymienione uporządkowanie magnetyczne.

Niniejsza praca skupia się na analizie mikrostruktury tj. rozmiaru ziaren oraz mikronaprężeń wewnętrzych podczas wygrzewania. Dane uzyskano za pomocą dyfrakcji promieniowania synchrotronowego w n-Cr otrzymanym metodą elektrodepozycji.

W wyniku procesu elektrodepozycji, przy różnych proporcjach substratów CrO3 oraz H2SO4, wyprodukowano cztery próbki nanokrystalicznego chromu (n-Cr) [2]. Następnie próbki te scharakteryzowano za pomocą pomiarów TEM, SEM oraz EDX. Rysunek 1 przedstawia fotografie próbki n-Cr ze skaningowej mikroskopii elektronowej. Dla różnych powiększeń tej samej próbki widać skupiska krystalitów, które przejawiają cechy samopodobieństwa.

Próbki n-Cr przebadane zostały za pomocą dyfrakcji promieniowania synchrotronowego (SR)  w European Synchrotron Radiation Facility w Grenoble (linia ID-31). Rysunek 2 przedstawia wynik pomiarów dyfrakcyjnych (długość fali λ=0.4 Å) dla n-Cr w temperaturze pokojowej (punkty) oraz obliczony dyfraktogram (linia ciągła) w oparciu o model struktury chromu bcc [1]. Na powiększeniu po prawej przedstawiony został zakres dużych kątów 2Θ, po lewej natomiast maksimum dyfrakcyjne (110) od n-Cr w zestawieniu z maksimum zmierzonym na tym samym dyfraktometrze dla próbki odniesienia LaB6. Widać, że  maksimum Braggowskie od LaB6 jest ok. 25 razy węższe od maksimum pochodzącego od n-Cr.

Rysunek 1. Fotografie SEM wykonane dla próbki n-Cr z następującymi powiększeniami: 60X (a), 2120X (b) oraz 8010X (c). Wg ref. [2].

Rysunek 2. Dyfraktogram proszkowy uzyskany dla próbki n-Cr wraz z dopasowanym modelem struktury. Wg ref. [2].

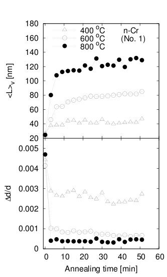
Rysunek 3. Średni rozmiar ziaren n-Cr oraz naprężenia wewnętrzne w funkcji czasu wygrzewania dla trzech temperatur. Wg ref. [2].

Za pomocą analizy Warrena-Averbacha [3] oraz metody „double-Voigt” [4] wyznaczono rozmiar ziaren <L>v oraz naprężenia wewnętrzne Δd/d w zależności od czasu wygrzewania dla temperatur 400°C, 600°C oraz 800°C. Zależność tę przedstawia Rysunek 3. Widać na nim, że największe zmiany zachodzą w ciągu pierwszych 15 min. wygrzewania oraz, że końcowy rozmiar ziaren zależy od temperatury wygrzewania.

Dalsze szczegóły tych badań są opisane w pracy [2].

Bibligrafia

[1] E. Fawcett, Rev. Mod. Phys. 60 (1988) 209.

[2] D. Wardecki, R. Przeniosło, A. Fitch, M. Bukowski, R. Hempelmann, J. Nanopart. Res. 13 (2011) 1151.

[3] B. Warren, B. Averbach, J. Appl. Phys. 21 (1950) 595.

[4] D. Balzar, Defect and Microstructure Analysis from Diffraction, (Oxford Uuniversity Press, New York, 1999).

 

Legal notice
  • Legal notice:
 

Related papers

Presentation: Invited oral at IX Krajowe Sympozjum Użytkowników Promieniowania Synchrotronowego, by Dariusz Wardecki
See On-line Journal of IX Krajowe Sympozjum Użytkowników Promieniowania Synchrotronowego

Submitted: 2011-06-07 15:10
Revised:   2011-09-19 22:18