Search for content and authors
 

Dendrimeric peptides with  affinity to opioid receptors - complexation properties

Marta K. Sowińska 1Anna A. Leśniak 2Andrzej W. Lipkowski 2,3Zofia Lipkowska 1

1. Polish Academy of Science, Institute of Organic Chemistry, Kasprzaka 44/52, Warsaw 01-224, Poland
2. Industrial Chemistry Research Institute (ICRI), Rydygiera 8, Warszawa 01-793, Poland
3. Mossakowski Medical Research Centre, Polish Academy of Sciences, Pawińskiego 5, Warsaw 02-106, Poland

Abstract
One of the most promising types of molecules allowing practical accomplishment of functional polyvalency are dendrimers - the synthetic macromolecules of nanoscopic dimensions built from several layers of branches located around a central core. This affords location of a high number of functional groups at the surface. Unlike other macromolecular compounds, their unambiguous composition, reliability and versatility of their synthesis, make this type of carriers well-suited to various medical and biochemical applications.

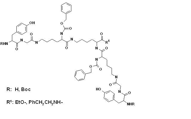
Pharmacological characterization of opioid receptor gave evidence of  its  complex and multiple  structure. Therefore, dendrimeric compounds seem to be well suited for design of ligands that interact efficiently with the nervous system receptors. Here we present convergent synthesis, characterization and biological activity of small library of dendrimers built around Lys(Lys)2 dendron functionalized with N-terminal fragment of enkephalins.

These dendrimers have been used as complexing agents of other peptides known as opioid ligands - biphalin and neurotensin. Application of ESI MS and HPLC methods revealed that in water solution 1:1 complex was formed between dendrimers and biphalin but not with neurotensin. Binding studies to opioid receptors were performed  for dendrimers alone as well as for  their 1:1 complexes with biphalin. It appears, that the designed dendrimers might be used as new delivery agents for small  peptides, ligands for opioid recep- tors.

Authors acknowledge financial support from the Ministry of Science and Higher Education, grant N204 239436 and EC grant Normolife.

 

Legal notice
  • Legal notice:
 

Related papers

Presentation: Poster at VII Multidyscyplinarna Konferencja Nauki o Leku, by Marta K. Sowińska
See On-line Journal of VII Multidyscyplinarna Konferencja Nauki o Leku

Submitted: 2010-03-16 10:11
Revised:   2010-04-16 22:22