Search for content and authors
 

Synthesis and anticonvulsant activity of N-substituted 8-azaspiro[4.5]decane-7,9-diones, 3-azaspiro[5.5]unde-cane-2,4-diones and 4-ethyl-4-methylpiperidine- 2,6-diones

Krzysztof Kamiński ,  Jolanta Obniska 

Jagiellonian University, Collegium Medicum, Department of Pharmaceutical Chemistry, Medyczna 9, Kraków 30-688, Poland

Abstract

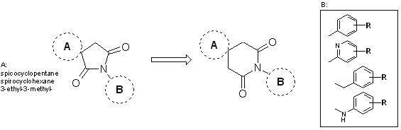
Continued efforts are being in the development of antiepileptic drugs employing a range of strategies, including modification of the structures of existing drugs, targeting novel molecular substrate and non-mechanism-based drug screening of compounds in animal models. To make the discovery of new anticonvulsants more rational many investigators identified structural fragments essential for anticonvulsant properties. One of the important core fragments of anticonvulsants is defined by a nitrogen heteroatomic system usually a cyclic imide, at least of one or two carbonyl groups and phenyl or alkyl substituents attached to the heterocyclic system.1,2 The previous studies from our laboratory have demonstrated potent anticonvulsant activity in groups of N-benzyl-, N-phenyl-, N-phenylamino-, N-pyrid-2-yl- spirossuccinimides and 3,3-dialkyl-pyrro-lidine-2,5- diones.3-6 These molecules were effective in electrically induced seizures (MES) or/and in the subcutaneous pentylenetetrazole screen (scPTZ) which are recognized as the “gold standards” in the early stages of testing. As a continuation of our systematic SAR analysis in the present studies we have obtained a small library of N-substituted spiroglutarimides and 4-ethyl-4-methyl- piperidine-2,6-diones which were designed as analogues of the most active succinimides (Figure 1). Such modification enable the examination of influence of the heterocyclic ring size on the anticonvulsant activity.

Fig_KK.jpgFigure 1.

The desired compounds were prepared by cyclocondensation reaction of 8-oxaspiro[4.5]decane-7,9-dione, 3-oxaspiro- [5.5]undecane- 2,4-dione or 3-ethyl-3-methyl-glutaric acid with the respective amines. The compounds were evaluated for their anticonvulsant activity and neurotoxic properties within the Antiepileptic Drug Development (ADD) Program (Epilepsy Branch, Neurological Disorders Program, National Institute of the Neurological and Communicative Disorders and Stroke (NINCDS), Rockville, USA).7

References:

1 Estrada E., Pena A. Bioorg. Med. Chem. 2000, 8, 2755. 2 Wong M.G., Defina J.A., Andrews P.R. J. Med. Chem. 1986, 29, 562. 3 Kamiński K., Obniska J. Bioorg. Med. Chem. 2008, 16, 4921. 4 Kamiński K., Obniska J., Dybała M. Eur. J. Med. Chem. 2008, 43, 53.

 

Legal notice
  • Legal notice:
 

Related papers

Presentation: Poster at VII Multidyscyplinarna Konferencja Nauki o Leku, by Krzysztof Kamiński
See On-line Journal of VII Multidyscyplinarna Konferencja Nauki o Leku

Submitted: 2010-03-11 15:32
Revised:   2010-05-06 10:11