Search for content and authors
 

Cyclodextrins as molecular recognition elements in monolayers

Olga Święch ,  Kazimierz Chmurski ,  Renata Bilewicz 

University of Warsaw, Faculty of Chemistry, Pasteura1, Warsaw 02-093, Poland

Abstract

Cyclodextrins are cyclic organic compounds obtained by  enzymatic transformation of starch. Among the class of ‘‘host’’ molecules, the β-cyclodextrin is one of the most abundant natural oligomers and corresponds to the association of seven glucose units. The cavity formed has a hydrophobic character, whereas the exterior is strongly hydrophilic. This unusual structure allows various guest molecules to be included in the cavity via non covalent bonds to form inclusion complexes [1, 2]. In the field of environmental research, the inclusion ability of cyclodextrins has attracted considerable attention due applications in sensing devices and the construction of molecular machines, which are able to perform tailored mechanical tasks [3, 4, 5].

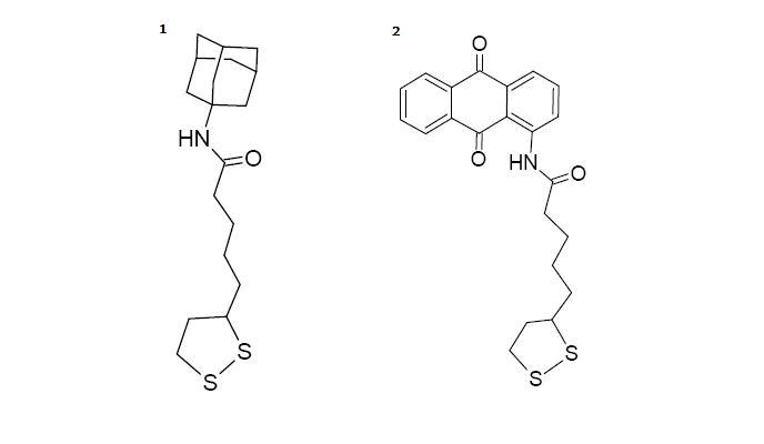
In our project we complexation of β-cyclodextrin with 1-aminoanthraquinone in solution and  with self-assembled monolayers of lipoic 1-anthraqunoneamide (2) is studied using cyclic votlammetry. We confirmed the complexation of  1-aminoanthraquinone by β-cyclodextrin using spectrometric and spectrofluorimetric methods. We also investigated the electrochemical behavior of self-assembled monolayer of non-electroactive lipoic 1-adamantaneamide (1) in the presence and absence of electroactive mono-6-thioureido-(1-antraquinone)-per-O-methyl-β-cyclodextrin. For comparison we also studied electrochemical properties of this β-cyclodextrin derivative in solution.

                                             czasteczki.jpg

  1. J. Szejtli, Comprehensive Supramolecular Chemistry, Pergamon, Oxford 3 (1996) 5.
  2.  H. Dodziuk, J. Mol. Struct. 614 (2002) 33.
  3. A. E. Kaifer, M. Gómez-Kaifer, Supermolecular Electrochemistry, Wiley-VCH (1999) 143.
  4. K. Chmurski, A. Temeriusz, R. Bilewicz, Anal. Chem. 75 (2003) 5687.
  5. U. E. Majewska K. Chmurski, K. Biesiada, A. Olszyna, R. Bilewicz, Electroanalysis 18 (2006) 1463.
 

 

 

Legal notice
  • Legal notice:
 

Related papers

Presentation: Poster at SMCBS'2009 International Workshop, by Olga Święch
See On-line Journal of SMCBS'2009 International Workshop

Submitted: 2009-09-03 09:28
Revised:   2009-10-27 17:55