Search for content and authors
 

Crystal structure determinations of fluorescent organic yellow pigments from X-ray powder data

Juergen Bruening ,  Christian Buchsbaum ,  Edith Alig ,  Lothar Fink ,  Jacco Van de Streek ,  Martin U. Schmidt 

Institut für Anorganische und Analytische Chemie, Johann Wolfgang Goethe-Universität, Max-von-Laue-Strasse 7, Frankfurt am Main 60438, Germany

Abstract

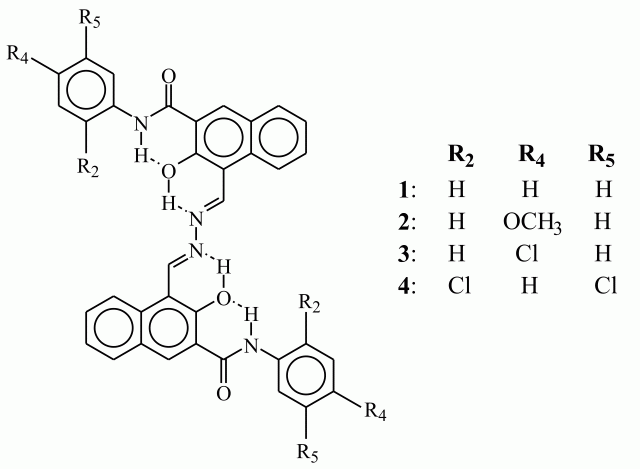
Organic pigments generally have a low solubility. Due to this property single crystals of suitable sizes are rarely obtained. Thus many structures of this class of compounds are determined from the powder patterns. The derivatives of Pigment Yellow 101 [1], compounds 1-4, are almost insoluble in most organic solvents even at 200°C. All compounds show fluorescence in the solid state. The crystal structures of 1, 2 (α-phase), 3, and 4 could be determined from laboratory powder data. The powder patterns were measured in transmission on a STOE STADI-P diffractometer with a linear PSD (Cu-Kα, Ge(111)-monochromator). The powders of 1-4 showed good crystallinities and the data could be indexed unambiguously using DICVOL. The structure of 1 was solved by lattice energy minimisation using the program CRYSCA [2]. Energy calculations were performed in five space groups. Simulated powder patterns of the proposed structures were compared to the experimental powder diagrams. The best matching structure was refined with the program GSAS [3] using restraints for bond lengths, bond angles and planar groups. The structures of compounds 2-4 were solved by real-space methods using the simulated-annealing program DASH [4]. Rietveld refinements were performed using the program TOPAS [5].
[1] W. Herbst, K. Hunger, “Industrial Organic Pigments”, 3rd ed., Wiley-VCH, Weinheim, 2004, S. 570.
[2] M. U. Schmidt, H. Kalkhof, CRYSCA, Frankfurt am Main, 1999.
[3] A. C. Larson, R. B. von Dreele, GSAS. Los Alamos National Laboratory Report, 1994, 86-748.
[4] W. I. F. David, K. Shankland, J. van de Streek, E. Pidcock, W. D. S. Moherwell, J. C. Cole, J. Appl. Cryst., 2006, 39, 910-915.
[5] A. A. Coelho, TOPAS Academic, version 4.1, 2007.

 

Legal notice
  • Legal notice:
 

Related papers

Presentation: Poster at 11th European Powder Diffraction Conference, Poster session, by Juergen Bruening
See On-line Journal of 11th European Powder Diffraction Conference

Submitted: 2008-04-08 15:54
Revised:   2009-06-07 00:48