Search for content and authors
 

New phosphonate - based strategy for the synthesis of carbocyclic nucleosides: natural Neplanocin A and its unnatural enantiomer.

Maciej Mikina ,  Marian Mikołajczyk 

Polish Academy of Sciences, Center of Molecular and Macromolecular Studies (CMMS-PAS), Sienkiewicza 112, Łódź 90-363, Poland

Abstract

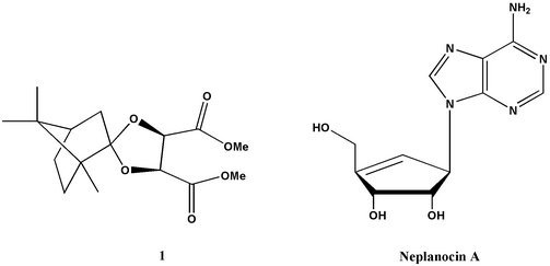
An urgency in the search for agents effective against Human Immunodeficiency Virus (HIV) caused an explosion of synthetic activity in the field of carbocyclic nucleosides and the discovery of several derivatives with potent antiviral activity [1]. Neplanocin A is a member of rich family of carbocyclic nucleosides which exhibit strong antiviral and antitumor activity. It was isolated in 1981 from Ampullariella regularis.

rysunek_do_abstraktu1_1_1.jpg

We report herein a new strategy for the synthesis of carbocyclic nucleosides exemplified by the synthesis of enantiomeric (-)- and (+)-Neplanocin A.A key to synthesis of Neplanocin A was the preparation of chiral precursor 1 from meso-tartaric acid . It was obtained from dimethyl meso-tartrate and D-camphor [2]. Then, it was converted into a mixture of diastereomeric 3-(phosphorylmethyl)-cyclopentenones which, after separation, were used in synthesis of both enantiomers of Neplanocin A. In the next step, the Horner reaction with n-pentanal afforded dienones, which upon ozonolysis gave the corresponding aldehydes as a result of the cleavage of the exocyclic C=C bond. Aldehyde groups were then selectively reduced to the alcohols using sodium triacetoxyborohydride. Protection of the hydroxyl groups by silylation with t-butyldimethylsilyl chloride and reduction of the ketone moieties gave the corresponding alcohols. Mitsunobu reaction with adenine and full deprotection of the condensation products afforded both enantiomers of Neplanocin A.

[1] Borthwick, A.D.; Biggadike, K. Tetrahedron, 1993,48,571-623

[1] Mikołajczyk, M.;Mikina, M.; Angew.Chem.Int.Ed.Engl., 1996, 35, 1560-1562

 

Legal notice
  • Legal notice:
 

Related papers

Presentation: Oral at VI Multidyscyplinarna Konferencja Nauki o Leku, by Maciej Mikina
See On-line Journal of VI Multidyscyplinarna Konferencja Nauki o Leku

Submitted: 2008-03-14 13:43
Revised:   2009-06-07 00:48