Search for content and authors
 

Analytical expression for Diffraction Line Profile for polydispersive powders

Roman Pielaszek 

Polish Academy of Sciences, High Pressure Research Center (UNIPRESS), Sokolowska 29/37, Warszawa 01-142, Poland

Abstract

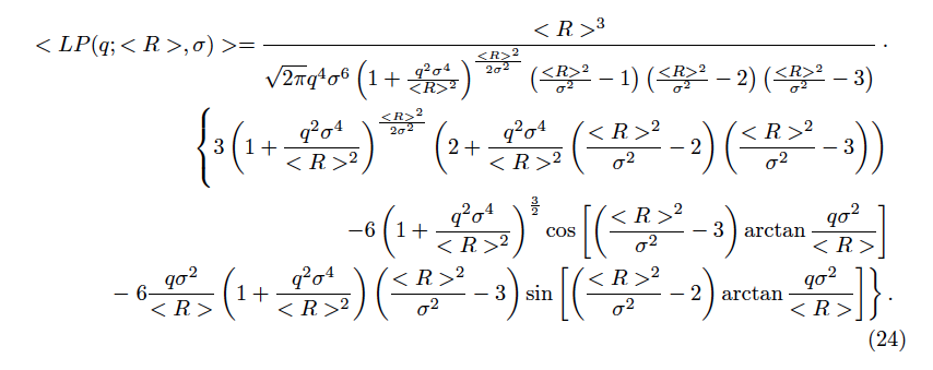
An analytical expression for the diffraction line profile for polydispersive powders (particularly, nanopowders) with Gamma Grain Size Distribution is derived. The expression consists of elementary functions only and can readily replace standard functions (like Gaussian, Lorentzian or Pearson) for diffraction peak fitting purposes. This allows for direct Grain Size Distribution determination using standard fitting software.

X-ray diffraction is a well established experimental method sensitive to both (i) crystal structure, (ii) size and shape of the crystallites. The latter property of diffraction is especially appreciated in case of nanocrystals, when small size of the objects makes diffraction techniques a feasible tool for crystallite size determination. Theory of powder diffraction describesa diffraction pattern as a set of diffraction peaks (located in reciprocal space according to Bragg law, with intensities defined by the structure factor) convoluted with some line profile (defined by crystal shape and size). An analytical formula for the line profile for spherical crystallites of same size (monodispersive powder) was given by Wilson 1. Later, similar formulas were given for other crystallites shapes 2,3,4. In the present paper formula for line profile for polydispersive powder consisting of spherical grains with the Gamma Grain Size Distribution (GSD) is presented.

Applied Crystallography, Proceedings of the XIX Conference, World Scientific, pp.43-50

 

Auxiliary resources (full texts, presentations, posters, etc.)
  1. FULLTEXT: Analytical expression for Diffraction Line Profile for polydispersive powders, PDF document, version 1.3, 0.4MB
 

Legal notice
  • Legal notice:
 

Related papers

Presentation: Article at NANO Ceramics and Grain Boundaries Lab, by Roman Pielaszek
See On-line Journal of NANO Ceramics and Grain Boundaries Lab

Submitted: 2004-02-24 18:36
Revised:   2016-04-09 11:41